Как исследовать сходимость числового ряда в Wolfram|Alpha
Для исследования сходимости числовых рядов Wolfram|Alpha предлагает несколько возможностей.Например, чтобы просто узнать сходится или расходится данный числовой ряд, можно обратится к Wolfram|Alpha на «естественном языке» — одним из следующих способов:
Во всех этих случаях Wolfram|Alpha интерпретирует запрос одинаково, и выводит следующий результат:

Результат «True» означает, что данный ряд сходится. Результат «False» будет означать, что ряд расходится:
convergence ((n+1)!*7^n)/n^2

Однако, Вы, конечно, помните, что числовой ряд, это — сумма членов бесконечной числовой последовательности. Значит, для исследования числового ряда можно использовать запрос Sum , который дает больше информации:

При использовании запроса Sum Wolfram|Alpha последовательно применяет доступные алгоритмы проверки признаков сходимости, пока не будет получен ответ. Это хорошо видно на следующем примере (гармонический ряд):

В том случае, когда числовой ряд сходится (а, это значит, что существует его сумма), Wolfram|Alpha по запросу Sum выводит также и сумму данного ряда:

В рассмотренных выше примерах исследовались числовые ряды с положительными членами.
Теперь рассмотрим знакочередующийся ряд:

P.S.
Обратите внимание, что Wolfram|Alpha не всегда хватает отведенного лимита времени, чтобы вывести полный результат. Поэтому, в отдельных случаях (для уверенности) стоит повторить исследование сходимости ряда несколько раз подряд.
www.wolframalpha-ru.com
1. Числовые ряды
Понятие числового ряда
Даны члены числовой
последовательности u1, u2,
…, un,
… . Выражение u1+u2+…+u n+… называется числовым
рядом. Числа u1, u2,
…, un,
… называются членами ряда.
un – общий член ряда. Сокращенно ряд
записывают 
.
Запишем
суммы S1 =
u1,
S2 = u1+u2,
S3 = u1+u2+u3,
… , Sn = u1+u2+…+un,
… Их называют частными или частичными
суммами ряда.
Частные суммы образуют бесконечную
числовую последовательность S1
Если существует
конечный предел последовательности
частных сумм
,
то ряд называютсходящимся. Число S
называют суммой
ряда и
записывают
.
Если предел последовательности частных сумм не существует или равен бесконечности, то ряд называется расходящимся.
Пример1.
Задан ряд:
Запишем частную сумму ряда:
Члены ряда представим следующим образом:
Ряд сходится, и его сумма равна 1.
Пример 2.
Ряд
называется рядом геометрической
прогрессии со знаменателемq.
Этот ряд сходится только при |q|
< 1 и его сумма равна
.
Пример 3.
Ряд называется гармоническим. Он является расходящимся.
1.2. Ряды с положительными членами
Ряд u1 + u2 + … + un + … называется рядом с положительными членами, если при всех значениях n выполняется неравенство un > 0.
Пусть даны два ряда с положительными членами
, (1)
. (2)
Если при всех
значениях n
выполняется неравенство 
Теорема (признак сравнения). Из сходимости ряда (2) следует сходимость ряда (1). Из расходимости ряда (1) следует расходимость ряда (2).
Пример 1.
Исследовать сходимость ряда: .
Данный ряд можно
сравнить с гармоническим рядом
,
т. к.
.
Гармонический ряд расходится, значит,
данный ряд расходится.
Пример 2.
Исследовать
сходимость ряда:
.
Члены данного ряда не больше соответствующих членов ряда
,
т. к.
.
Ряд
является рядом геометрической прогрессии
со знаменателем
<1.
Такой ряд сходится, следовательно, ряд
сходится.
Пример 3.
Исследовать сходимость ряда: .
Члены данного ряда
не меньше соответствующих членов
гармонического ряда
,
т. к.
.
Гармонический ряд расходится, значит,
по признаку сравнения рядов данный ряд
расходится.
1.3. Признак Даламбера
Дан ряд с положительными членами u1 + u2 + … + un + … .
Пусть
.
Если l < 1, то ряд сходится.
Если l > 1, то ряд расходится.
Если l = 1, то признак вопроса не решает.
Пример 1.
Исследовать
сходимость ряда:
,
,
.
Пример 2.
Исследовать
сходимость ряда:
,
,
.
. Ряд расходится.
Пример 3.
Исследовать
сходимость ряда:
,
,
.
Ряд сходится.
Пример 4.
Исследовать
сходимость ряда: 
,
.Ряд сходится.
1.4. Интегральный признак Коши сходимости ряда
Дан ряд с положительными членами u1+u2+…+un+… , члены которого монотонно убывают, т.е. un+1 < un.
Составим непрерывную
невозрастающую положительную функцию f(x), заданную на
такую, что приx = 1,2,3,…,n,… значение функции равно соответствующему
члену ряда. Функция f(x) называется производящей
функцией данного ряда.
Теорема. Если члены данного ряда монотонно
убывают (un+1 < 0 un , n = 1,2, 3, …) и
если функция y = f(x) при
непрерывна, положительна и монотонно
убывает, иf(n)=un,
тогда
если
сходится, то сходится и данный ряд;если
расходится, то расходится и данный ряд.
Пример 1.
Исследовать на
сходимость ряд:
.
Составим
производящую функцию ряда 
.
Несобственный интеграл сходится, сходится и данный ряд.
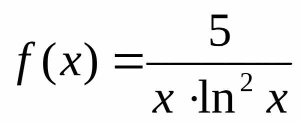
Пример 2.
Исследовать
сходимость числового ряда:
.
Составим
производящую функцию ряда
.
Вычислим:
Несобственный интеграл сходится, сходится и данный ряд.
Пример 3.
Исследовать
сходимость ряда:
.
Составим производящую
функцию ряда
.
Вычислим:
Несобственный интеграл расходится, расходится и данный ряд.
studfiles.net
Сходимость рядов. Признак Даламбера
Сходимость рядов. Признак Даламбера
Сходимость рядов. Признак Даламбера
Пусть задана бесконечная последовательность чисел . Выражение называется числовым рядом. При этом числа называются членами ряда.
Числовой ряд часто записывают в виде .
Теорема (необходимый признак сходимости ряда). Если ряд сходится,
то его -й
член стремится к нулю при неограниченном возрастании .
Следствие. Если -й
член ряда не стремится к нулю при ,
то ряд расходится.
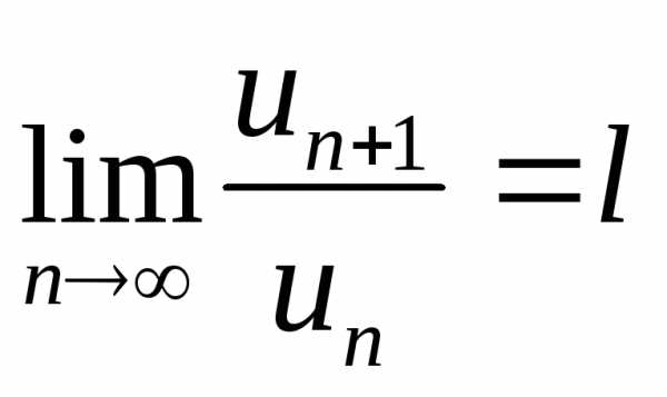
Теорема (признак Даламбера). Если в ряде с положительными членами
отношение -го
члена ряда к -му
при
имеет конечный предел ,
т.е. ,
то:
— ряд сходится в случае ,
— ряд расходится в случае .
В случаях, когда предел не существует или он равен единице, ответа на вопрос
о сходимости или расходимости числового ряда теорема не дает. Необходимо провести
дополнительное исследование.
Примеры решения задач
Пример 1. Исследовать сходимость ряда .
Решение.
Применим признак сходимости
Даламбера. Сначала запишем формулы для -го
и -го
членов ряда:
Затем найдем предел отношения -го
члена ряда к -му
при :
И последнее, сделаем вывод о сходимости ряда, сравнив полученное значение предела
с 1. Поскольку ,
то данный ряд расходится.
Ответ: ряд
расходится.
Пример 2. Исследовать сходимость ряда .
Решение.
Применим признак сходимости Даламбера. Запишем формулы для -го и -го членов ряда:
Найдем предел отношения -го
члена ряда к -му
при :
Сравним полученное значение предела с 1. Поскольку ,
то данный ряд сходится.
Ответ: ряд сходится.
Пример 3. Исследовать сходимость ряда .
Решение.
Используем признак сходимости Даламбера, а также определение функции факториал. Поскольку для каждого целого положительного числа функция (читается «n факториал»), по определению, равна произведению всех целых чисел от 1 до , т.е. , то .
Теперь запишем формулы для -го
и -го
членов ряда:
С учетом вышесказанного найдем предел отношения -го
члена ряда к -му
при :
Вывод о сходимости ряда: сравнив полученное значение предела с 1 ,
устанавливаем, что данный ряд сходится.
Ответ: ряд сходится.
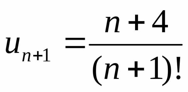
Пример 4. Исследовать сходимость ряда .
Решение.
Используем признак сходимости Даламбера. Запишем формулы для -го и -го членов ряда:
С учетом того, что ,
найдем предел отношения -го
члена ряда к -му
при :

Вывод о сходимости ряда: сравнив полученное значение предела с 1 ,
устанавливаем, что данный ряд расходится.
Ответ: ряд
расходится.
Пример 5. Исследовать сходимость ряда , пользуясь признаком сходимости Даламбера.
Решение.
Запишем формулы для -го и -го членов ряда:
.
Далее найдем предел отношения -го
члена ряда к -му
при :
Вывод о сходимости ряда: сравнив полученное значение предела с 1 ,
устанавливаем, что данный ряд расходится.
Ответ: ряд
расходится.
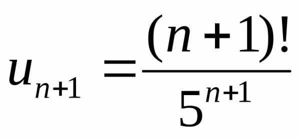
Пример 6. Исследовать сходимость ряда ,
пользуясь признаком сходимости Даламбера.
Решение.
Запишем формулы для -го и -го членов ряда:
Далее найдем предел отношения -го
члена ряда к -му
при :

И последнее, сделаем вывод о сходимости ряда, сравнив полученное значение предела
с 1. Поскольку ,
то данный ряд сходится.
Ответ: ряд
сходится.
Пример 7. Исследовать сходимость ряда , пользуясь признаком сходимости Даламбера.
Решение.
Сначала запишем формулы для -го и -го членов ряда:
Затем найдем предел отношения -го
члена ряда к -му
при :
Сравним полученное значение предела с 1. Поскольку ,
то данный ряд сходится.
Ответ: ряд сходится.
Пример 8. Исследовать сходимость ряда , пользуясь признаком сходимости Даламбера.
Решение.
Предварительно вспомним, что для каждого целого положительного числа функция , по определению, равна произведению всех целых чисел от 1 до , т.е. .
Тогда для
и
получим: ,
.
Теперь запишем формулы для -го
и -го
членов ряда:
Далее найдем предел отношения -го
члена ряда к -му
при :

Вывод о сходимости ряда: сравнив полученное значение предела с 1 ,
устанавливаем, что данный ряд сходится.
Ответ: ряд
сходится.
Задания для самостоятельной работы
Исследовать сходимость
ряда, пользуясь признаком сходимости Даламбера:
1. . Ответ: ,
ряд расходится.
2. . Ответ: , ряд сходится.
3. . Ответ: , ряд расходится.
4. . Ответ: , ряд сходится.
5. . Ответ: , ряд расходится.
6. . Ответ: , ряд расходится.
7. . Ответ: , ряд сходится.
8. . Ответ: , ряд сходится.
9. . Ответ: , ряд сходится.
10. . Ответ: , ряд сходится.
11. . Ответ: , ряд сходится.
12. . Ответ: , ряд сходится.
13. . Ответ: , ряд расходится.
14. . Ответ: , ряд сходится.
15. . Ответ: , ряд расходится.
16. . Ответ: , ряд сходится.
pgsksaa07.narod.ru
Исследование степенного ряда на сходимость — Мегаобучалка
После небольшой порции теоретического материала переходим к рассмотрению типового задания, которое практически всегда встречается на зачетах и экзаменах по высшей математике.
Пример 1
Найти область сходимости степенного ряда
Задание часто формулируют эквивалентно: Найти интервал сходимости степенного ряда и исследовать его сходимость на концах найденного интервала.
Алгоритм решения довольно прозрачен и трафаретен.
На первом этапе находим интервал сходимости ряда. Почти всегда необходимо использовать признак Даламбера и находить предел . Технология применения признака Даламбера точно такая же, как и для числовых рядов, с ней можно ознакомиться на урокеПризнак Даламбера. Признаки Коши. Единственное отличие – все дела у нас происходят под знаком модуля.
Итак, решаем наш предел:
(1) Составляем отношение следующего члена ряда к предыдущему.
(2) Избавляемся от четырехэтажности дроби.
(3) В числителе по правилу действий со степенями «отщипываем» один «икс». В знаменателе возводим двучлен в квадрат.
(4) Выносим оставшийся «икс» за знак предела, причем, выносим его вместе со знаком модуля. Почему со знаком модуля? Дело в том, что наш предел и так будет неотрицательным, а вот «икс» вполне может принимать отрицательные значения. Поэтому модуль относится именно к нему.
Кстати, почему можно вообще вынести за знак предела? Потому-что «динамической» переменной в пределе у нас является «эн», и от этого нашему «иксу» ни жарко ни холодно.
(5) Устраняем неопределенность стандартным способом.
После того, как предел найден, нужно проанализировать, что у нас получилось.
Если в пределе получается ноль, то алгоритм решения заканчивает свою работу, и мы даём окончательный ответ задания: «Область сходимости степенного ряда: » (любое действительное число – случай №2 предыдущего параграфа). То есть, степенной ряд сходится при любом значении «икс». Ответ можно записать эквивалентно: «Ряд сходится при » (значок в математике обозначает принадлежность).
Если в пределе получается бесконечность, то алгоритм решения также заканчивает свою работу, и мы даём окончательный ответ задания: «Ряд сходится при » (или при либо »). Смотрите случай №3 предыдущего параграфа.
Если в пределе получается не ноль и не бесконечность, то у нас самый распространенный на практике случае №1 – ряд сходится на некотором интервале.
В данном случае предел равен . Как найти интервал сходимости ряда? Составляем неравенство:
В ЛЮБОМ задании данного типа в левой части неравенства должен находиться результат вычисления предела, а в правой части неравенства – строго единица. Я не буду объяснять, почему именно такое неравенство и почему справа единица. Уроки носят практическую направленность, и уже достаточно того, что я пересказал своими словами несколько теорем.
Теперь раскрываем модуль по школьному правилу: .
В данном случае:
– интервал сходимости исследуемого степенного ряда.
Половина пути позади.
На втором этапе необходимо исследовать сходимость ряда на концах найденного интервала.
Сначала берём левый конец интервала и подставляем его в наш степенной ряд :
При
Получен числовой ряд, и нам нужно исследовать его на сходимость (уже знакомая из предыдущих уроков задача).
Используем признак Лейбница:
1) Ряд является знакочередующимся.
2) – члены ряда убывают по модулю.
Вывод: ряд сходится.
Исследуем ряд на абсолютную сходимость:
– сходится (случай обобщенного гармонического ряда).
Таким образом, полученный числовой ряд сходится абсолютно.
Далее рассматриваем правый конец интервала , подставляем это значение в наш степенной ряд :
При – сходится.
Таким образом, степенной ряд сходится на обоих концах найденного интервала.
Ответ: Область сходимости исследуемого степенного ряда:
Имеет право на жизнь и другое оформление ответа: Ряд сходится, если
Иногда в условии задачи требуют указать радиус сходимости. Очевидно, что в рассмотренном примере .
Пример 2
Найти область сходимости степенного ряда
Решение: Найдем интервал сходимости данного ряда. Используем признак Даламбера:
Составляем стандартное неравенство:
Ряд сходится при
Слева нам нужно оставить только , поэтому умножаем обе части неравенства на 3:
И раскрываем модуль по школьному правилу :
– интервал сходимости исследуемого степенного ряда.
Исследуем сходимость степенного ряда на концах найденного интервала.
1) При
Обратите внимание, что при подстановке значения в степенной ряд у нас сократилась степень . Это верный признак того, что мы правильно нашли интервал сходимости ряда.
Исследуем полученный числовой ряд на сходимость.
Используем признак Лейбница.
– Ряд является знакочередующимся.
– – члены ряда убывают по модулю.
Вывод: Ряд сходится.
Исследуем ряд на абсолютную сходимость:
Сравним данный ряд с расходящимся рядом .
Используем предельный признак сравнения:
Получено конечное число, отличное от нуля, значит, ряд расходится вместе с рядом .
Таким образом, ряд сходится только условно.
2) При – расходится (по доказанному).
Ответ: Область сходимости исследуемого степенного ряда: . При ряд сходится только условно.
В рассмотренном примере областью сходимости степенного ряда является полуинтервал, причем во всех точках интервала степенной ряд сходится абсолютно (см. предыдущий параграф), а в точке , как выяснилось – сходится только условно.
Пример 3
Найти интервал сходимости степенного ряда и исследовать его сходимость на концах найденного интервала
Это пример для самостоятельного решения.
Рассмотрим пару примеров, которые встречаются редко, но встречаются.
Пример 4
Найти область сходимости ряда:
Решение: Найдем интервал сходимости данного ряда. Используем признак Даламбера:
(1) Составляем отношение следующего члена ряда к предыдущему.
(2) Избавляемся от четырехэтажности дроби.
(3) Кубы и по правилу действий со степенями подводим под единую степень. В числителе хитро раскладываем степень , т.е. раскладываем таким образом, чтобы на следующем шаге сократить дробь на . Факториалы расписываем подробно.
(4) Под кубом почленно делим числитель на знаменатель, указывая, что . В дроби сокращаем всё, что можно сократить. Множитель выносим за знак предела, его можно вынести, поскольку в нём нет ничего, зависящего от «динамической» переменной «эн». Обратите внимание, что знак модуля не нарисован – по той причине, что принимает неотрицательные значения при любом «икс».
В пределе получен ноль, а значит, можно давать окончательный ответ:
Ответ: Ряд сходится при
А сначала-то казалось, что этот ряд со «страшной начинкой» будет трудно решить. Ноль или бесконечность в пределе – почти подарок, ведь решение заметно сокращается!
Пример 5
Найти область сходимости ряда
Это пример для самостоятельного решения. Будьте внимательны 😉 Полное решение ответ в конце урока.
Рассмотрим еще несколько примеров, содержащих элемент новизны в плане использования технических приемов.
Пример 6
Найти интервал сходимости ряда и исследовать его сходимость на концах найденного интервала
Решение: В общий член степенного ряда входит множитель , обеспечивающий знакочередование. Алгоритм решения полностью сохраняется, но при составлении предела мы игнорируем (не пишем) этот множитель, поскольку модуль уничтожает все «минусы».
Найдем интервал сходимости данного ряда. Используем признак Даламбера:
Составляем стандартное неравенство:
Ряд сходится при
Слева нам нужно оставить только модуль, поэтому умножаем обе части неравенства на 5:
Теперь раскрываем модуль уже знакомым способом:
В середине двойного неравенства нужно оставить только «икс», в этих целях из каждой части неравенства вычитаем 2:
– интервал сходимости исследуемого степенного ряда.
Исследуем сходимость ряда на концах найденного интервала:
1) Подставляем значение в наш степенной ряд :
Будьте предельно внимательны, множитель не обеспечивает знакочередование, при любом натуральном «эн» . Полученный минус выносим за пределы ряда и забываем про него, поскольку он (как и любая константа-множитель) никак не влияет на сходимость или расходимость числового ряда.
Еще раз заметьте, что в ходе подстановки значения в общий член степенного ряда у нас сократился множитель . Если бы этого не произошло, то это бы значило, что мы либо неверно вычислили предел, либо неправильно раскрыли модуль.
Итак, требуется исследовать на сходимость числовой ряд . Здесь проще всего использовать предельный признак сравнения и сравнить данный ряд с расходящимся гармоническим рядом. Но, если честно, предельный признак сравнения до ужаса мне надоел, поэтому внесу некоторое разнообразие в решение.
Используем интегральный признак.
Подынтегральная функция непрерывна на .
Таким образом, полученный числовой ряд расходится вместе с соответствующим несобственным интегралом.
2) Исследуем второй конец интервала сходимости.
При
Используем признак Лейбница:
– Ряд является знакочередующимся.
– – члены ряда убывают по модулю.
Вывод: ряд сходится
Рассматриваемый числовой ряд не является абсолютно сходящимся поскольку – расходится (по доказанному).
Ответ: – область сходимости исследуемого степенного ряда, при ряд сходится только условно.
Пример 7
Найти интервал сходимости ряда и исследовать его сходимость на концах найденного интервала
Это пример для самостоятельного решения.
Кто утомился, может сходить покурить, а мы рассмотрим еще два примера.
Пример 8
Найти интервал сходимости ряда и исследовать его сходимость на концах найденного интервала
Решение: Найдем интервал сходимости данного ряда. Используем признак Даламбера:
Предел по той причине, что числитель и знаменатель одного порядка роста. Более подробно об этом моменте и «турбо»-методе решения читайте в статьеПризнак Даламбера. Признаки Коши.
Итак, ряд сходится при
Умножаем обе части неравенства на 9:
Извлекаем из обеих частей корень, при этом помним старый школьный прикол :
Раскрываем модуль:
И прибавляем ко всем частям единицу:
– интервал сходимости исследуемого степенного ряда.
Исследуем сходимость степенного ряда на концах найденного интервала:
1) Если , то получается следующий числовой ряд:
Множитель бесследно пропал, поскольку при любом натуральном значении «эн» .
И в третий раз обращаю внимание на то, что в результате подстановки сократились степени , а значит, интервал сходимости найден правильно.
По всем признакам для полученного числового ряда следует применить предельный признак сравнения. Какой ряд подобрать для сравнения? Об этой методике я уже рассказывал на урокеРяды для чайников. Повторим.
Определяем старшую степень знаменателя, для этого мысленно или на черновике отбрасываем под корнем всё, кроме самого старшего слагаемого: . Таким образом, старшая степень знаменателя равна . Старшая степень числителя, очевидно, равна 1. Из старшей степени знаменателя вычитаем старшую степень числителя: .
Таким образом, наш ряд нужно сходить со сходящимся рядом .
Используем предельный признак сравнения:
Получено конечное, отличное от нуля число, значит, ряд сходится вместе с рядом .
2) Что происходит на другом конце интервала?
При – сходится.
А вот и вознаграждение за мучения в предыдущем пункте! Получился точно такой же числовой ряд, сходимость которого мы только что доказали.
Ответ: область сходимости исследуемого степенного ряда:
Чуть менее сложный пример для самостоятельного решения:
Пример 9
Найти область сходимости ряда
Достаточно для начала =)
В заключение остановлюсь на одном моменте. Во всех примерах мы использовали признак Даламбера и составляли предел . Всегда ли при решении заданий такого типа нужно применять признак Даламбера? Почти всегда. Однако в редких случаях невероятно выгодно использовать радикальный признак Коши и составлять предел , при этом техника и алгоритм решения задачи остаются точно такими же! Что это за случаи? Это те случаи, когда из общего члена степенного ряда «хорошо» (полностью) извлекается корень «энной» степени.
Следующий урок по теме – Разложение функций в степенные ряды. Примеры решений.
Желаю успехов!
Решения и ответы:
Пример 3: Решение: Найдем интервал сходимости данного ряда. Используем признак Даламбера:
Ряд сходится при
Слева нужно оставить только модуль, поэтому умножаем обе части неравенства на 7
– интервал сходимости исследуемого степенного ряда.
Исследуем сходимость ряда на концах найденного интервала.
1) При
Используем признак Лейбница.
– Ряд является знакочередующимся.
– члены ряда не убывают по модулю.
Вывод: Ряд расходится
2) При
Ряд расходится, так как не выполнен необходимый признак сходимости ряда.
Ответ: – область сходимости исследуемого степенного ряда
Пример 5: Решение: Найдем интервал сходимости данного ряда. Используем признак Даламбера:
Ответ: Ряд сходится при
Почему получилась двойка, а не ноль? Перечитайте классификацию области сходимости степенного ряда. Хотя, наверное, многие уже понимают, почему.
Пример 7: Решение: Найдем интервал сходимости данного ряда. Используем признак Даламбера:
Ряд сходится при
Слева нужно оставить только модуль, умножаем обе части неравенства на :
В середине нужно оставить только «икс», вычитаем из каждой части неравенства 3:
– интервал сходимости исследуемого степенного ряда.
Исследуем сходимость ряда на концах найденного интервала:
1) При
Степень сократилась, значит, мы на верном пути.
Используем признак Лейбница.
Ряд является знакочередующимся.
– члены ряда убывают по модулю.
Ряд сходится по признаку Лейбница.
Исследуем ряд на абсолютную сходимость:
Используем интегральный признак.
Подынтегральная функция непрерывна на .
Таким образом, ряд расходится вместе с соответствующим несобственным интегралом. Ряд сходится только условно.
2) При – расходится (по доказанному).
Ответ: Область сходимости исследуемого степенного ряда: , при ряд сходится только условно.
Область сходимости окончательно можно записать так: , или даже так: .
Примечание: Ряд можно было исследовать на сходимость с помощью предельного признака сравнения.
Пример 9: Решение: Найдем интервал сходимости данного ряда. Используем признак Даламбера:
Ряд сходится при
– интервал сходимости исследуемого степенного ряда.
Исследуем сходимость ряда на концах найденного интервала.
1) При
Сравним данный ряд с расходящимся гармоническим рядом . Используем предельный признак сравнения.
Получено конечное число, отличное от нуля, значит, полученный числовой ряд расходится вместе с гармоническим рядом.
2) При – расходится (по доказанному).
Ответ: область сходимости исследуемого степенного ряда:
Автор: Емелин Александр
megaobuchalka.ru
Исследовать сходимость рядов — matematiku5.ru
1.2.9. Пользуясь известными признаками сходимости, исследовать сходимость следующих рядов:
Воспользуемся признаком Даламбера:
При решении использовали – второй замечательный предел.
Так как – то данный ряд сходится.
По радикальному признаку Коши:
Так как – то данный ряд расходится.
По интегральному признаку Коши:
Ряд расходится.
1.3.9. Исследовать на сходимость знакочередующийся ряд:
Воспользуемся достаточным признаком сходимости знакопеременных рядов. Для этого определим сходимость ряда составленного из модулей членов данного ряда:
Воспользуемся признаком Даламбера:
Так как , то ряд, составленный из модулей членов данный ряд, сходится.
Таким образом, исходный ряд является абсолютно сходящимся.
Воспользуемся достаточным признаком сходимости знакопеременных рядов. Для этого определим сходимость ряда составленного из модулей членов данного ряда:
По интегральному признаку Коши:
Ряд, составленный из модулей членов данный ряд, расходится.
Исследуем исходный ряд по признаку Лейбница:
1. последовательность абсолютных величин членов ряда монотонно убывает:
2. Общий член ряда стремится к нулю, при этом сумма S ряда удовлетворяет неравенствам :
;
с погрешность вычисления равной .
Таким образом,
Ряд является условно сходящимся, т. к. ряд составленный из модулей членов данного рядя расходится, а данный ряд сходится по признаку Лейбница.
1.4.9. Найти область сходимости степенного ряда:
По признаку Даламбера:
Область сходимости ряда: => =>
При имеем ряд:
По интегральному признаку Коши:
Ряд расходится.
Тогда область сходимости ряда:
1.5.9. Разложить в ряд Маклорена функцию . Указать область сходимости полученного ряда:
Преобразуем функцию:
Разложим подынтегральную функцию в ряд Маклорена:
Тогда:

Область сходимости ряда: => =>
Тогда область сходимости ряда:
1.8.9. Используя разложение подынтегральной функции в степенной ряд, вычислить указанный определенный интеграл с точностью до 0,001.
Разложим подынтегральную функцию в ряд Маклорена:
Тогда:
Найдем значение интеграла:

1.9.9. Найти разложение в степенной ряд по степеням х решения дифференциального уравнения (записать три первых, отличных от нуля члена этого разложения).
,
Будем искать решение уравнения в виде:
Здесь:
Будем искать:
при x=0
при x=0
Подставляем найденные значения производных в исходный ряд, получаем:
Окончательно:
4.1.9. Основные понятия и теоремы теории вероятностей:
Вероятность попадания в цель равна 0,003. Сколько нужно произвести выстрелов, чтобы с вероятностью, большей 0,94, можно было утверждать, что цель будет поражена?
По условию:
; ; ;
По формуле Бернулли:
Подставим исходные значения:
Найдем максимальное значение n, решая правую часть неравенства.
Чтобы найти максимум данной функции, найдем ее производную:
Найдем критические точки:
Тогда:
Тогда неравенство никогда не будет выполнено:
С вероятностью, большей 0,94, мы не можем утверждать, что цель будет поражена, если вероятность попадания в цель равна 0,003.
4.3.9. Схема повторных испытаний:
Из каждого десятка деталей 9 удовлетворяют стандарту. Найти вероятность того, что из 50 взятых со склада деталей число стандартных окажется между 42 и 48.
По интегральной теореме Лапласа: Вероятность того, что в n независимых испытаниях, в каждом из которых вероятность появления события равна (0 при этом , событие наступит не менее k1 раз и не более k2 раз, приближенно равна:
Здесь:
– функция Лапласа
;
Значения функции Лапласа находим по специальной таблице.
Найдем вероятность появления стандартной детали и вероятность появления нестандартной:
;
Подставим все известные значения:
Функция Лапласа (по таблице):
Искомая вероятность:
4.4.9. Случайные величины:
Дискретная случайная величина Х имеет только два возможных значения: и , причем . Вероятность того, что Х примет значения , равна 0,2. Найти закон распределения Х, зная математическое ожидание и среднее квадратичное отклонение .
Запишем закон распределения Х в общем виде:
Впишем все известные значения:
X | ||
P(X) | 0,2 | 0,8 |
Найдем возможные значения Х:
Находим математическое ожидание:
Подставляем все известные значения:
Находим среднее квадратичное отклонение:
Находим дисперсию:
Подставляем все известные значения:
Составим систему уравнения для нахождения возможных значений Х:
Подставляем все известные значения:
=>=>=>
или
Тогда:
или
Принимая во внимание условие выбираем пару: и
Запишем закон распределения Х:
4.5.9. Случайные величины:
Случайная величина Х задана функцией распределения:
Выбрать коэффициенты a, b и c таким образом, чтобы данное распределение соответствовало случайной величине непрерывного типа, написать выражение для плотности р(х).
По условию задачи функция F(x) непрерывна. Выберем коэффициенты a, b и c таким образом, чтобы не было разрыва, для этого составим систему уравнений:
Тогда:
=> => => =>
Выберем: , тогда , .
Подставим найденные значения в функцию распределения:
Плотностью распределения (иначе – «плотность вероятности») непрерывной случайной величины – характеризует как бы плотность, с которой распределяются значения случайной величины в данной точке и является производной функции распределения.
matematiku5.ru
сходится, то сходится и данный ряд;
расходится, то расходится и данный ряд.