Ряды Тейлора, Бином, Степенные ряды
Ряд Тейлора функции одной переменной
$f(x)=f(a)+f'(a)(x-a)+\frac{f»(a)(x-a)^2}{2!}+\cdots$$+\frac{f^{(n-1)}(a)(x-a)^{n-1}}{(n-1)!}+R_n$ где $R_n$, остаточный член после n слагаемых, может быть записан в одной из следующих форм:
Форма Лагранжа $R_n=\frac{f^{(n)}(x-a)^n}{n!}$
Форма Коши $R_n=\frac{f^{(n)}(\xi)(x-\xi)^{n-1}(x-a)}{(n-1)!}$
Величина $\xi$, которая может отличаться для двух форм, лежит в промежутке между $a$ и $x$. Результат справедлив, если $f(x)$ имеет непрерывные производные до порядка $n$ как минимум.
Если $\lim_{n\rightarrow\infty} R_n=0$, полученный бесконечный ряд называется рядом Тейлора функции $f(x)$ в окрестности $x = a$. Если $a = 0$, такое разложение часто называют рядом Маклорена. Эти ряды, часто называемые степенными рядами, обычно сходятся для всех значений $x$ из некоторого интервала, который называется интервалом сходимости, и расходятся для всех $x$ вне этого интервала.
Возведение в степень двучленов
$(a+x)^n=a^n+na^{n-1}x+\frac{n(n-1)}{2!}a^{n-2}x^2+$$\frac{n(n-1)(n-2)}{3!}a^{n-3}x^3+\cdots=$
$= a^n+\binom{n}{1}a^{n-1}x+\binom{n}{2}a^{n-2}x^2+$$\binom{n}{3}a^{n-3}x^3+\cdots$
Особо стоит выделить следующие разложения
$(a+x)^2=a^2+2ax+x^2$
$(a+x)^3=a^3+3a^2x+3ax^2+x^3$
$(a+x)^4=a^4+4a^3x+6a^2x^2+4ax^3+x^4$
$(1+x)^{-1}=$$1-x+x^2-x^3+x^4-\cdots,$ $-1
$(1+x)^{-2}=$$1-2x+3x^2-4x^3+5x^4-\cdots,$ $-1
$(1+x)^{-3}=$$1-3x+6x^2-10x^3+15x^4-\cdots$ $-1
$(1+x)^{-\frac{1}{2}}=$$1-\frac{1}{2}x+\frac{1\cdot3}{2\cdot4}x^2-\frac{1\cdot3\cdot5}{2\cdot4\cdot6}x^3+\cdots$ $-1
$(1+x)^{\frac{1}{2}}=$$1+\frac{1}{2}x-\frac{1}{2\cdot4}x^2+\frac{1\cdot3}{2\cdot4\cdot6}x^3-\cdots$ $-1
$(1+x)^{-\frac{1}{3}}=$$1-\frac{1}{3}x+\frac{1\cdot4}{3\cdot6}x^2-\frac{1\cdot4\cdot7}{3\cdot6\cdot9}x^3+\cdots$ $-1
$(1+x)^{\frac{1}{3}}=$$1+\frac{1}{3}x+\frac{2}{3\cdot6}x^2-\frac{2\cdot5}{3\cdot6\cdot9}x^3-\cdots$ $-1
Разложение в ряд показательной и логарифмической функций
$e^x=1+x+\frac{x^2}{2!}+\frac{x^3}{3!}+\cdots$ $-\infty
$a^x=e^{x\ln x}=$$1+x\ln a+\frac{(x\ln a)^2}{2!}+\frac{(x\ln a)^3}{3!}+\cdots$ $ -\infty
$\ln(1+x)=x-\frac{x^2}{2}+\frac{x^3}{3}-\frac{x^4}{4}+\cdots$ $-1
$\frac{1}{2}\ln\left(\frac{1+x}{1-x}\right)=$$x+\frac{x^3}{3}+\frac{x^5}{5}+\frac{x^7}{7}+\cdots$ $-1
$\ln x=2\left\{\left(\frac{x-1}{x+1}\right)+\frac{1}{3}\left(\frac{x-1}{x+1}\right)^3+\frac{1}{5}\left(\frac{x-1}{x+1}\right)^5+\cdots\right\}$ $x>0$
$\ln x=\left(\frac{x-1}{x}\right)+\frac{1}{2}\left(\frac{x-1}{x}\right)^2+$$\frac{1}{3}\left(\frac{x-1}{x}\right)^3+\cdots$ $x\geq\frac{1}{2}$
Разложение в ряд тригонометрических функций
$\sin x=x-\frac{x^3}{3!}+\frac{x^5}{5!}-\frac{x^7}{7!}+\cdots$ $-\infty
$\cos x=1-\frac{x^2}{2!}+\frac{x^4}{4!}-\frac{x^6}{6!}+\cdots$ $-\infty
$tg x=x+\frac{x^3}{3}+\frac{2x^5}{15}+\frac{17x^7}{315}+\cdots$$+\frac{2^{2n}(2^{2n}-1)B_nx^{2n-1}}{(2n)!}+\cdots$ $|x|
$\text{ctg} x=\frac{1}{x}-\frac{x}{3}-\frac{x^3}{45}-\frac{2x^5}{945}-\cdots-$$\frac{2^{2n}B_nx^{2n-1}}{(2n)!}-\cdots$ $0
$\sec x=1+\frac{x^2}{2}+\frac{5x^4}{24}+\frac{61x^6}{720}+\cdots$$+\frac{E_nx^{2n}}{(2n)!}+\cdots$ $|x|
$\csc x=\frac{1}{x}+\frac{x}{6}+\frac{7x^3}{360}+\frac{31x^5}{15,120}+\cdots$$+\frac{2(2^{2n-1}-1)B_nx^{2n-1}}{(2n)!}+\cdots$ $0
$\sin^{-1}x=x+\frac{1}{2}\frac{x^3}{3}+\frac{1\cdot3}{2\cdot4}\frac{x^5}{5}+$$\frac{1\cdot3\cdot5}{2\cdot4\cdot6}\frac{x^7}{7}+\cdots$ $|x|
$\cos^{-1}x=\frac{\pi}{2}-\sin^{-1}x=$$\frac{\pi}{2}-\left(x+\frac{1}{2}\frac{x^3}{3}+\frac{1\cdot3}{2\cdot4}\frac{x^5}{5}+\cdots\right)$ $|x|
$\text{tg}^{-1}x=x-\frac{x^3}{3}+\frac{x^5}{5}-\frac{x^7}{7}+\cdots$, когда $|x| $\text{tg}^{-1}x=\pm\frac{\pi}{2}-\frac{1}{x}+\frac{1}{3x^3}-\frac{1}{5x^5}+\cdots$ $[+\ \text{если}\ x\geq1, -\ \text{если}\ x\leq-1]$
$\text{ctg}^{-1}x=\frac{\pi}{2}-\text{tg}^{-1}x =$$\frac{\pi}{2}-\left(x-\frac{x^3}{3}+\frac{x^5}{5}-\frac{x^7}{7}+\cdots\right)$, когда $|x| $\text{ctg}^{-1}x=\frac{\pi}{2}-\text{tg}^{-1}x =$$p\pi+\frac{1}{x}-\frac{1}{3x^3}+\frac{1}{5x^5}-\cdots$, когда [p=0 если x>1, p=1 если x
$\sec^{-1}x=\cos^{-1}\left(\frac{1}{x}\right)=$$\frac{\pi}{2}-\left(\frac{1}{x}+\frac{1}{2\cdot3x^3}+\frac{1\cdot3}{2\cdot4\cdot5x^5}+\cdots\right)$ $|x|>1$
$\csc^{-1}x=\sin^{-1}\left(\frac{1}{x}\right)=$$\frac{1}{x}+\frac{1}{2\cdot3x^3}+\frac{1\cdot3}{2\cdot4\cdot5x^5}+\cdots$ $|x|>1$
Разложение в ряд гиперболических функций
$\text{sh} x=x+\frac{x^3}{3!}+\frac{x^5}{5!}+\frac{x^7}{7!}+\cdots$ $-\infty
$\text{ch} x=1+\frac{x^2}{2!}+\frac{x^4}{4!}+\frac{x^6}{6!}+\cdots$ $-\infty
$\text{th} x=x-\frac{x^3}{3}+\frac{2x^5}{15}-\frac{17x^7}{315}+\cdots$$+\frac{(-1)^{n-1}2^{2n}(2^{2n}-1)B_nx^{2n-1}}{(2n)!}+\cdots$ $|x|
$\text{cth} x=\frac{1}{x}+\frac{x}{3}-\frac{x^3}{45}+\frac{2x^5}{945}+\cdots$$+\frac{(-1)^{n-1}2^{2n}B_nx^{2n-1}}{(2n)!}+\cdots$ $0
$\sec\text{h}x=1-\frac{x^2}{2}+\frac{5x^4}{24}-\frac{61x^6}{720}+\cdots$$+\frac{(-1)^
www.math10.com
Ряд Тейлора — это… Что такое Ряд Тейлора?
Ряд Те́йлора — разложение функции в бесконечную сумму степенных функций.
Ряд назван в честь английского математика Брука Тейлора, хотя ряд Тейлора был известен задолго до публикаций Тейлора — его использовали ещё в XVII веке Грегори, а также Ньютон.
Ряды Тейлора применяются при аппроксимации функции многочленами. В частности, линеаризация уравнений происходит путём разложения в ряд Тейлора и отсечения всех членов выше первого порядка.
Определение
Пусть функция бесконечно дифференцируема в некоторой окрестности точки . Формальный ряд
называется рядом Тейлора функции в точке .
Связанные определения
- В случае, если , этот ряд также называется рядом Макло́рена.
Свойства
У этой функции все производные в нуле равны нулю, поэтому коэффициенты ряда Тейлора в точке равны нулю.
Формула Тейлора
Формула Тейлора используется при доказательстве большого числа теорем в дифференциальном исчислении. Говоря нестрого, формула Тейлора показывает поведение функции в окрестности некоторой точки.
Теорема:
Это формула Тейлора с остаточным членом в общей форме (форма Шлёмильха — Роша).
Различные формы остаточного члена
В форме Лагранжа:
В форме Коши:
В интегральной форме:
Ослабим предположения:
- — остаточный член в асимптотической форме (в форме Пеано, в локальной форме)
Ряды Маклорена некоторых функций
Формула Тейлора для функции двух переменных
Пусть функция имеет полные производные вплоть до -го порядка включительно в некоторой окрестности точки . Введём дифференциальный оператор
- .
Тогда разложением в ряд Тейлора функции по степеням и в окрестности точки будет
где — остаточный член в форме Лагранжа:
В случае функции одной переменной , поскольку для функции одной переменной частная производная тождественно равна полной. Аналогично формула распространяется на функции от любого числа переменных, меняется только число слагаемых в операторе .
См. также
Литература
- Ильин В. А., Садовничий В. А., Сендов Б. Х. Математический анализ, ч. 1, изд. 3, ред. А. Н. Тихонов. М.: Проспект, 2004.
- Киселёв В. Ю., Пяртли А. С., Калугина Т. Ф. Высшая математика. Первый семестр, Интерактивный компьютерный учебник.
- Петрова С. С., Романовска Д. А. К истории открытия ряда Тэйлора. // Историко-математические исследования. — М.: Наука, 1980. — № 25. — С. 10-24.
- Письменный Д. Т. Конспект лекций по высшей математике, изд.: АЙРИС-пресс, 2002.
dic.academic.ru
Лекция 19. Формула Тейлора. Ряд Тейлора
19.1. Формула Тейлора1.
Рассмотрим произвольный многочлен степени n:
.
Пусть
– любое фиксированное число. Полагая,
получим:
. (19.1)
Запишем также в виде
, (19.2)
где
– числа, зависящие от
и
– коэффициенты разложения
по степеням
.
Например,.
Из (19.1) не видно, что
от
:. (19.3)
Следующие производные равны нулю.
Полагая в формулах (19.2) и (19.3)
,
получаем:
,
,,
,,
то есть
.
(19.4)
Таким образом,
. (19.2*)
Это формула Тейлора для многочлена
по степеням
.
Отметим, что правая часть (19.2*) фактически
не зависит от 
Пример 19.1.Пусть,
.
,
,,
после чего получаем формулу бинома Ньютона
.
19.2. Остаточный член формулы Тейлора.
Рассмотрим любую функцию
,
которая имеет непрерывные производные
до
-го
порядка в некоторой окрестности точки
.
Составим многочлен Тейлораn-й
степени по степеням
:
. (19.5)

в точке
,
но для всехxон не
равен
.
Кроме того, ,
,.
Положим
. (19.6)
Здесь
–остаточный член формулы Тейлора.Он показывает, какую погрешность мы
допускаем при замене
на многочлен Тейлора (19.5).
Если функция
имеет в окрестности точки
непрерывную производную
,
то для
такая, что(остаточный член в форме Лагранжа).
Функцию
можно записать в виде:
. (19.6*)
Если
,
то формулу (19.6*) называютформулой
Маклорена1.
Известны и другие формы остаточного члена формулы Тейлора.
Остаточный член в форме Коши:, где .
Формула Тейлора с остаточным членом в смысле Пеано2:
.
Эта формула приспособлена для изучения
функции 
.19.3. Ряд Тейлора.
Определение 19.1.Выражение вида
, (19.7)
или
, (19.7*)
где
– числа, зависящие от индекса k,
называется рядом (числовым рядом).
Определение 19.2.Конечные суммы
называются частичными суммами
ряда(19.7).
Определение 19.3.Если существует конечный предел

то говорят, что ряд(19.7)сходится к числу S и называют S суммой ряда:
.
Определение 19.4.Если предел
частичных сумм Sn
ряда(19.7)не существует или равен
,
то ряд(19.7)называется расходящимся
рядом.
Если функция
имеет производные любого порядка в
окрестности точки
,
то можно функцию
представить в виде суммы
.
Такое разложение называется рядом Тейлора функции
по степеням
.
Если
,
то это будетряд Маклорена. Особый интерес представляет тот случай,
когда ряд Тейлора функции
по степеням
сходится в некоторой окрестности точки
и при том к самой функции
.
Если это имеет место, то
,, (19.9)
то есть функция
есть сумма её ряда Тейлора в некоторой
окрестности точки
разлагается в ряд Тейлора по степеням
,
сходящийся к ней. ♦ Теорема 19.1. Пусть функция
на отрезке имеет производные любого порядка и
остаток её формулы Тейлора стремится
к нулю при на этом отрезке:
.(19.10)
Тогда функция
разлагается в ряд Тейлора на этом
отрезке.
Доказательство.Пусть функция
имеет на отрезке
производные любого порядка. Тогда эти
производные непрерывны на
,
потому что если
имеет производную
на
,
то производная
непрерывна на
.
Поэтому для нашей функции
имеет смысл формула Тейлора:
,.
В силу (19.10)
.
То есть в этом случае многочлен Тейлора
функции
по степеням
стремится при
к самой функции:
,. (19.11)
А это означает, что ряд Тейлора функции
сходится на
и имеет своей суммой
:
,.■
♦ Теорема 19.2 (достаточный
критерий сходимости остатка формулы
Тейлора к нулю). Если функция
имеет на отрезке производные любого порядка, ограниченные
одним и тем же числом
,,
то остаток её формулы Тейлора на этом
отрезке стремится при к нулю:
.(19.12)
Доказательство.Воспользуемся формой Лагранжа остаточного члена:
. (19.13)
Так как правая часть (19.13) стремится к нулю при , то имеет место (19.12).■
19.4. Формулы и ряды Тейлора элементарных функций.
1)
.Эта функция бесконечно дифференцируема
на
:
,
,,.
Формула Тейлора с
и остаточным членом в форме Лагранжа
имеет вид:
,
,
.
На отрезке 

,
где
при
.
То есть нафункция
разлагается в ряд Маклорена по степенямx:
.
Пример 19.2.Вычислимeс точностью до 0,001:
,
где
,.
Надо подобрать nнастолько большим, чтобы
.
Так как
,
решим неравенство
.
Оно начинает выполняться при
.
Следовательно,
.
2) . Данная функция имеет производную любого порядка и
.
Надо учесть, что
Функция
разлагается в сходящийся к ней на
ряд Тейлора по степенямx:
.
Формула Тейлора функции по степенямxимеет вид:
,
где
,.
Отсюда следует, что и
.
Пример 19.3.Вычислим
.
Ряд Тейлора для синуса . Поэтому
,
то есть
.
На самом деле остаток имеет вид
,
но для наших целей достаточно
.
Надо иметь в виду, что если некоторая
функция отxесть
,
то она есть также
(но вообще не наоборот).
3) . Аналогично можно получить, что
.
Пример 19.4.(с точностью до
).
Пример 19.5.Вычислим
.
По аналогии с примером 19.3 получим
,
то есть
.
4)Функцияопределена и сколько угодно раз
дифференцируема для
.
Для
при
запишем формулу Тейлора. Так как,,
то формула Тейлора имеет вид:
.
При
,
поэтому
.
Например, .
5)Функция. Производные,. Формула Тейлора по степенямxимеет вид:
.
Для
при
,
поэтому
.
Если
,
то функцияесть многочлен. В этом случае
для
и ряд представляет собой конечную сумму
– многочлен Тейлора.
1Тейлор Брук (1685-1731) – английский математик.
1Маклорен Колин (1698-1746) – шотландский математик.
2Пеано Джузеппе (1858-1932) – итальянский математик.
91
studfiles.net
Разложение некоторых элементарных функций в ряд Тейлора.
Задача разложения
функции в ряд Тейлора в окрестности
точки
решается в следующем порядке:
Находятся последовательно .
Записываются (1).
Находим интервал сходимости ряда (1): .
Записываем остаточный член
в каком-то виде.Находим те точки , для которых.
После выполнения
этих пунктов в (1) вместо
можно поставить равенство
.
Функция
.
Пусть задана
функция
,
она бесконечно дифференцируемая и
,
где
.
Найдем коэффициенты разложения , тогда
-это
ряд Маклорена для функции
,
который сходится к этой функции на всей
числовой прямой.
Функция .
Найдем ее производные

Вычислим коэффициенты в формуле Тейлора:
.
Пусть
,
тогда
,
если
,
то так как
,
то по теореме 2, можно утверждать, что
ряд Тейлора сходится к функции
.
.
Функция . Можно провести аналогично разложение, а можно разложить другим способом. Мы знаем, что степенной ряд можно дифференцировать в интервале его сходимости. Тогда .
Ряд Маклорена для функции.
Так как функция
и ее производные не определены в точке
,
поэтому будем рассматривать функцию ,
которая определена
,
вместе с производными. Продифференцируем
:
—
как сумма бесконечно убывающей
геометрической прогрессии
(имеет сумму при
).
Проинтегрируем
этот ряд почленно по любому отрезку от
до
,
где
.
Получим
он сходится при
.
Проверим сходится ли ряд на границах
интервала
:
при
ряд вообще суммы не имеет, при
получается знакочередующийся рядпо теореме Лейбница он сходится, покажем,
что он сходится к
,
то есть.
Воспользуемся теоремой (достаточным
условием разложимости в ряд Тейлора).
Для этого оценим остаточный член в
формуле Лагранжа.при
Тогда
.
Таким образом, , то есть ряд сходится при.
При
ряд расходится, так как не выполнено
необходимое условие сходимости ряда,
так как
.
Разложение степенной функции в ряд Тейлора.
Рассмотрим функцию . (5).
Область сходимости ряда . на границе интервала надо проверять отдельно для каждого конкретного ряда
Отметим наиболее часто встречающиеся частные случаи биномиального ряда:
, тогда
—
бесконечно убывающая геометрическая
прогрессия, сходится при
.
,
тогда
,
тогда
Используя свойство степенных рядов о почленном интегрировании и дифференцировании внутри области сходимости можно получить следующие разложения:
Пример 1: сходится при
.
Проинтегрируем внутри отрезка сходимости:Пример
2:
Сходится
при
.
Проинтегрировав по
на
получим:
.
Дробно-рациональная функция.
—
многочлены. Чтобы разложить
в ряд Тейлора, вначале приводим к
правильной дроби, далее полученную
дробь разбиваем на сумму более простых
методом неопределенных коэффициентов.
Эти более простые дроби раскладываем
в ряд Тейлора, используя разложение в
геометрическую прогрессию.
.
.

Ряд Тейлора. Разложение основных элементарных функций в степенные ряды.
Теорема: Всякая функция, бесконечно дифференцируемая
в интервале
,
то есть,
может быть разложена в этом интервале
в сходящийся к ней степенной ряд Тейлора.
,
если в этом интервале выполняется
условие
,
где
—
остаточный член формулы Тейлора,.
При
получается ряд Маклорена:.
Если в некотором интервале, содержащем
точку
,
при любом
выполняется неравенство
,
где
—
положительная постоянная, то
и функция
разложима в ряд Тейлора.
studfiles.net
Ряд Тейлора | Математика | FANDOM powered by Wikia
Ряд Тейлора — разложение функции в бесконечную сумму степенных функций. Ряд назван в честь английского математика Брука Тейлора.
Пусть функция $ f(x) $ бесконечно дифференцируема в некоторой окрестности точки $ {a} $, тогда ряд
- $ f(x) = f(a)+\sum_{k=1}^\infty {f^{(k)} (a) \over k!} (x — a)^k $
называется рядом Тейлора функции $ f $ в точке $ a $.
В случае, если $ a=0 $, этот ряд иногда называется рядом Маклорена.
Если $ f $ есть аналитическая функция, то её ряд Тейлора в любой точке $ a $ области определения $ f $ сходится к $ f $ в некоторой окрестности $ a $.
Формула Тейлора Править
Формула Тейлора используется при доказательстве большого числа теорем в дифференциальном исчислении. Говоря нестрого, формула Тейлора показывает поведение функции в окрестности некоторой точки.
Теорема:
- Пусть функция $ f(x) $ имеет $ n+1 $ производную в некоторой окрестности точки $ a $, $ U(a, \epsilon) $
- Пусть $ x\in U(a, \epsilon) $
- <I>Пусть $ p $ — произвольное положительное число,
тогда: $ \exists $ точка $ \xi\in (x,a) $ при $ x < a $ или $ \xi\in (a,x) $ при $ x > a $:
$ f(x) = f(a) + \sum_{k=1}^n {f^{(k)} (a) \over k!} (x — a)^k + \left({x — a \over x — \xi}\right)^p{(x — \xi)^{n+1}\over n! p}f^{(n+1)}(\xi) $
Это формула Тейлора с остаточным членом в общей форме (форме Шлемильха — Роша).
Различные формы остаточного члена Править
В форме Лагранжа:
- $ R_{n+1}(x) = {(x — a)^{n+1} \over (n+1)!}f^{(n+1)} [a + \theta(x — a)] \qquad p = n+1 $
В форме Коши:
- $ R_{n+1}(x) = {(x — a)^{n+1} (1 — \theta)^n \over n!}f^{(n+1)} [a + \theta(x — a)] \qquad p = 1 $
Ослабим предположения:
- Пусть функция $ f(x) $ имеет $ n-1 $ производную в некоторой окрестности точки $ a $
- И $ n $ производную в самой точке $ a $, тогда:
- $ R_{n+1}(x) = o[(x — a)^n ] $ — остаточный член в асимптотической форме (форме Пеано)
Ряды Тейлора некоторых функций Править
- Экспонента: $ \mathrm{e}^{x} = \sum^{\infin}_{n=0} \frac{x^n}{n!} $ для всех $ x $
- натуральный логарифм: $ \ln(1+x) = \sum^{\infin}_{n=0} \frac{(-1)^n}{n+1} x^{n+1} $ для $ \left| x \right| < 1 $
- $ \frac{1}{1-x} = \sum^{\infin}_{n=0} x^n $ для $ \left| x \right| < 1 $
- Биномиальное разложение: $ (1+x)^\alpha = \sum^{\infin}_{n=0} {\alpha \choose n} x^n $ для всех $ \left| x \right| < 1\quad\mbox{ and all complex } \alpha $
- Тригонометрические функции:
- $ \sin x = \sum^{\infin}_{n=0} \frac{(-1)^n}{(2n+1)!} x^{2n+1} $ для всех $ x $
- $ \cos x = \sum^{\infin}_{n=0} \frac{(-1)^n}{(2n)!} x^{2n} $ для всех $ x $
- $ \operatorname{tg} x = \sum^{\infin}_{n=1} \frac{B_{2n} (-4)^n (1-4^n)}{(2n)!} x^{2n-1} $ для $ \left| x \right| < \frac{\pi}{2} $
- $ \sec x = \sum^{\infin}_{n=0} \frac{(-1)^n E_{2n}}{(2n)!} x^{2n} $ для $ \left| x \right| < \frac{\pi}{2} $
- $ \arcsin x = \sum^{\infin}_{n=0} \frac{(2n)!}{4^n (n!)^2 (2n+1)} x^{2n+1} $ для $ \left| x \right| < 1 $
- $ \operatorname{arctg} x = \sum^{\infin}_{n=0} \frac{(-1)^n}{2n+1} x^{2n+1} $ для $ \left| x \right| < 1 $
- Гиперболические функции:
- $ \operatorname{sh} \left(x\right) = \sum^{\infin}_{n=0} \frac{1}{(2n+1)!} x^{2n+1} $ для всех $ x $
- $ \operatorname{ch} \left(x\right) = \sum^{\infin}_{n=0} \frac{1}{(2n)!} x^{2n} $ для всех $ x $
- $ \operatorname{th}\left(x\right) = \sum^{\infin}_{n=1} \frac{B_{2n} 4^n (4^n-1)}{(2n)!} x^{2n-1} $ для $ \left|x\right| < \frac{\pi}{2} $
- $ \operatorname{areash} \left(x\right) = \sum^{\infin}_{n=0} \frac{(-1)^n (2n)!}{4^n (n!)^2 (2n+1)} x^{2n+1} $ для $ \left| x \right| < 1 $
- $ \operatorname{areath} \left(x\right) = \sum^{\infin}_{n=0} \frac{1}{2n+1} x^{2n+1} $ для $ \left| x \right| < 1 $
Интересные факты
Несмотря на то, что фамилия Тейлор правильно произносится с ударением на первом слоге, некоторые преподаватели старой закалки любят говорить Тейлóр и таким образом проверять кто же из студентов ходил на лекции, а кто нет. В некоторых случаях подобный трюк проделывают с фамилией <a data-rte-meta=»%7B%22type%22%3A%22internal%22%2C%22text%22%3A%22%5Cu0411%5Cu0430%5Cu043d%5Cu0430%5Cu0445%5Cu0430%22%2C%22link%22%3A%22%5Cu0411%5Cu0430%5Cu043d%5Cu0430%5Cu0445%22%2C%22wasblank%22%3Afalse%2C%22noforce%22%3Atrue%2C%22wikitext%22%3A%22%5B%5B%5Cu0411%5Cu0430%5Cu043d%5Cu0430%5Cu0445%7C%5Cu0411%5Cu0430%5Cu043d%5Cu0430%5Cu0445%5Cu0430%5D%5D%22%7D» data-rte-instance=»2561-7752124154f252a814fc05″ href=»/index.php?title=%D0%91%D0%B0%D0%BD%D0%B0%D1%85&amp;action=edit&amp;redlink=1″ title=»Банах (такой страницы не существует)»>Банаха</a>.
hu:Taylor-sornl:Taylorreeks pl:Szereg Taylorasl:Taylorjeva vrsta sv:Taylorserie
ru.math.wikia.com
Ряд Тейлора. Разложение функции в ряд Тейлора.
Ряд Тейлора. Разложение функции в ряд Тейлора.
Оказывается, большинство практически встречающихся математических функций могут быть с любой точностью представлены в окрестностях некоторой точки в виде степенных рядов, содержащих степени переменной в порядке возрастания. Например, в окрестности точки х=1:
При использовании рядов, называемых рядами Тейлора, смешанные функции, содержащие, скажем, алгебраические, тригонометрические и экспоненциальные функции, могут быть выражены в виде чисто алгебраических функций. С помощью рядов зачастую можно быстро осуществить дифференцирование и интегрирование.
Ряд Тейлора в окрестности точки a имеет виды:
1), где f(x) — функция, имеющая при х=а производные всех порядков. Rn — остаточный член в ряде Тейлора определяется выражением
2)
k-тый коэффициент (при хk) ряда определяется формулой
3) Частным случаем ряда Тейлора является ряд Маклорена (=Макларена) (разложение происходит вокруг точки а=0)
при a=0
члены ряда определяются по формуле
Условия применения рядов Тейлора.
1. Для того, чтобы функция f(x) могла быть разложена в ряд Тейлора на интервале (-R;R) необходимо и достаточно, чтобы остаточный член в формуле Тейлора (Маклорена (=Макларена)) для данной функции стремился к нулю при k→∞ на указанном интервале (-R;R).
2. Необходимо чтобы существовали производные для данной функции в точке, в окрестности которой мы собираемся строить ряд Тейлора.
Свойства рядов Тейлора.
- Если f есть аналитическая функция, то ее ряд Тейлора в любой точке а области определения f сходится к f в некоторой окрестности а.
- Существуют бесконечно дифференцируемые функции, ряд Тейлора которых сходится, но при этом отличается от функции в любой окрестности а. Например:
Ряды Тейлора применяются при аппроксимации ( приближение — научный метод, состоящий в замене одних объектов другими, в том или ином смысле близкими к исходным, но более простыми) функции многочленами. В частности, линеаризация ((от linearis — линейный), один из методов приближённого представления замкнутых нелинейных систем, при котором исследование нелинейной системы заменяется анализом линейной системы, в некотором смысле эквивалентной исходной.) уравнений происходит путём разложения в ряд Тейлора и отсечения всех членов выше первого порядка.
Таким образом, практически любую функцию можно представить в виде полинома с заданной точностью.tehtab.ru
69. Формула Тейлора. Разложение функции по формуле Тейлора.
Пусть функция y= f(x) задана на (a, b) и x0 (a, b). Поставим следующую задачу: найти многочлен P(x), значения которого в окрестности точки x0 приближенно совпадали бы со значениями функции f(x) в соответствующих точках. Тогда можно будет считать, что f(x)≈P(x) и задачу вычисления значенийf(x) в окрестности точки x0 можно заменить более легкой задачей вычисления значений P(x).
Пусть искомый многочлен имеет степень n P(x) = Pn(x). Будем искать его в виде
(1) |
В этом равенстве нам нужно найти коэффициенты .
Для того чтобы этот многочлен был «близок» к функции f(x) потребуем выполнения следующих равенств:
Пусть функция y= f(x) имеет производные до n-ого порядка. Найдем коэффициенты многочленаPn(x) исходя из условия равенства производных.
Введем обозначение n! = 1·2·3…n, 0! = 1, 1! = 1.
Подставим в (1) x = x0 и найдем , но с другой стороны. Поэтому
Далее найдем производную и вычислимСледовательно,.
Учитывая третье условие и то, что
,
получим , т.е..
Далее . Значит,, т.е..
Очевидно, что и для всех последующих коэффициентов будет верна формула
Подставляя найденные значения коэффициентов в формулу (1), получим искомый многочлен:
Обозначим и назовем эту разностьn-ым остаточным членом функции f(x) в точке x0. Отсюда и, следовательно,если остаточный член будет мал.
Оказывается, что если x0 (a, b) при всех x (a, b) существует производная f (n+1)(x), то для произвольной точки x (a, b) существует точка, лежащая между x0 и x такая, что остаток можно представить в виде:
Это так называемая формула Лагранжа для остаточного члена.
Формула
где x (x0, x) называется формулой Тейлора.
Если в этой формуле положить x0 = 0, то она запишется в виде
где x ( x0, x). Этот частный случай формулы Тейлора называют формулой МакЛорена.
.
РАЗЛОЖЕНИЕ ПО ФОРМУЛЕ МАКЛОРЕНА НЕКОТОРЫХ ЭЛЕМЕНТАРНЫХ ФУНКЦИЙ
Рассмотрим функцию f(x)=ex. Представим ее по формуле МакЛорена в виде суммы многочлена и некоторого остатка. Для этого найдем производные до (n+1) порядка:
Таким образом, получаем
Используя эту формулу и придавая x различные значения, мы сможем вычислить значение ex.
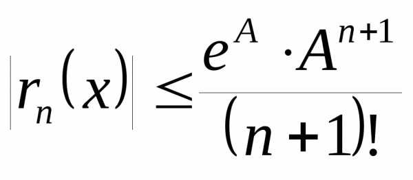
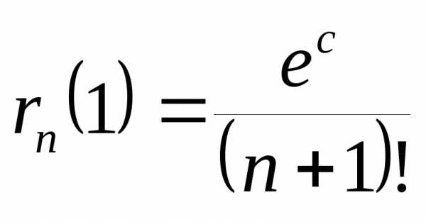
Например, при x=1, ограничиваясь n=8, получим формулу, позволяющую найти приближенное значение числа e:
причем остаток
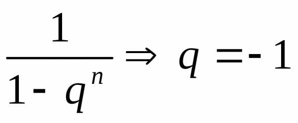
Отметим, что для любого x R остаточный член
Действительно, так как ξ (0; x), то величина eξ ограничена при фиксированном x. При x> 0 eξ < ex. Докажем, что при фиксированном x
Имеем
Если x зафиксировано, то существует натуральное число N такое, что |x|<N.
Обозначим Заметив, что 0<q<1, приn>N можем написать
Но , не зависящая отn, а так как q<1. ПоэтомуСледовательно,
Таким образом, при любом x, взяв достаточное число слагаемых, мы можем вычислить ex с любой степенью точности.
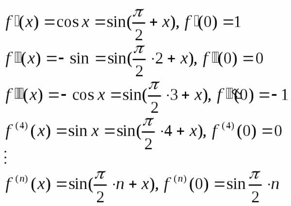
Выпишем разложение по формуле МакЛорена для функции f(x)=sin x.
Найдем последовательные производные от функции f(x)=sin x.

Подставляя полученные значения в формулу МакЛорена, получим разложение:
Несложно заметить, что преобразовав n-й член ряда, получим
.
Так как , то аналогично разложениюex можно показать, что для всехx.
Пример. Применим полученную формулу для приближенного вычисления sin 20°. При n=3 будем иметь:
Оценим сделанную погрешность, которая равна остаточному члену:
Таким образом, sin 20°= 0,342 с точностью до 0,001.
f(x) = cos x. Аналогично предыдущему разложению можно вывести следующую формулу:
Здесь также для всехx. Докажите формулу самостоятельно.
f(x)=ln (1+x). Заметим, что область определения этой функции D(y)=(–1; +∞).
Найдем формулу МакЛорена для данной функции.
Подставим все найденные производные в ряд МакЛорена.
Можно доказать, что если x (–1;1],то , т.е. выведенная формула справедлива приx ( –1;1].
f(x) = (1+x)m, где m R, m≠0.
При m≠Z данная функция определена при x> –1. Найдем формулу МакЛорена для этой функции:
И следовательно,
Можно показать, что при |x|<1
studfiles.net
в каком-то виде.
, тогда
—
бесконечно убывающая геометрическая
прогрессия, сходится при
.
,
тогда
,
тогда