10.Производная сложной и неявной функции двух переменных
Как известно, неявно заданная функция одной переменной определяется так: функция у независимой переменной x называется неявной, если она задана уравнением, не разрешенным относительно y :
Пример 1.11.
Уравнение
неявно задаёт две функции:
А уравнение
не задаёт никакой функции.
Теорема 1.2 (существования неявной функции).
Пусть функция z =f(х,у) и ее частные производные f’x и f’y определены и непрерывны в некоторой окрестности UM0 точки M0(x0y0). Кроме того, f(x0,y0)=0 и f'(x0,y0)≠0, тогда уравнение (1.33) определяет в окрестности UM0 неявную функцию y= y(x), непрерывную и дифференцируемую в некотором интервале D с центром в точке x0, причем y( x0)=y0.
Без доказательства.
Из теоремы 1.2 следует, что на этом интервале D:
то- есть имеет место тождество по
Поэтому
где «полная»
производная находится согласно (1.
То есть (1.35) дает формулу нахождения производной неявно заданной функции одной переменной x .
Аналогично определяется и неявная функция двух и более переменных.
Например, если в некоторой области V пространства Oxyz выполняется уравнение:
то при некоторых условиях на функцию F оно неявно задаёт функцию
При этом по аналогии с (1.35) ее частные производные находятся так:
Пример 1.12. Считая, что уравнение
неявно задаёт функцию
найти z’x, z’y.
Решение
Имеем:
поэтому согласно (1.37) получаем ответ.
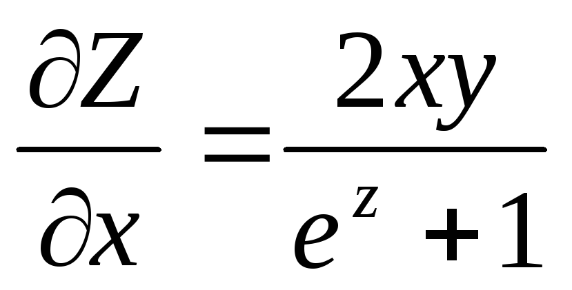
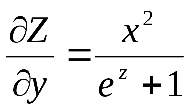
Ответ.
11.Использование частных производных в геометрии.
12.Экстремумы функции двух переменных.
Понятие максимума, минимума, экстремума функции двух переменных аналогичны соответствующим понятиям функции одной независимой переменной (см. п. 25.4).
Пусть функция z =
ƒ(х;у) определена в некоторой области
D, точка N(x0;y0) Î D.
Точка (х0;у0) называется точкой максимума функции z=ƒ(х;у), если существует такая d-окрестность точки (х0;у0), что для каждой точки (х;у), отличной от (хо;уо), из этой окрестности выполняется неравенство ƒ(х;у)<ƒ(хо;уо).
Аналогично определяется точка минимума функции: для всех точек (х; у), отличных от (х0;у0), из d-окрестности точки (хо;уо) выполняется неравенство: ƒ(х;у)>ƒ(х0;у0).
На рисунке 210: N1 — точка максимума, а N2 — точка минимума функции z=ƒ(x;у).
Значение функции в точке максимума (минимума) называется максимумом (минимумом) функции. Максимум и минимум функции называют ее экстремумами.
Отметим, что, в силу определения, точка экстремума функции лежит внутри области определения функции; максимум и минимум имеют локальный (местный) характер: значение функции в точке (х0;у0) сравнивается с ее значениями в точках, достаточно близких к (х0; у0). В области D функция может иметь несколько экстремумов или не иметь ни одного.
2. Необходимые и
достаточные условия экстремумаРассмотрим условия существования экстремума функции.
Теорема 46.1 (необходимые условия экстремума). Если в точке N(x0;y0) дифференцируемая функция z=ƒ(х;у) имеет экстремум, то ее частные производные в этой точке равны нулю: ƒ’x(х0;у0)=0, ƒ’y(х0;у0)=0.
Зафиксируем одну из переменных. Положим, например, у=у0. Тогда получим функцию ƒ(х;у0)=φ(х) одной переменной, которая имеет экстремум при х = х0. Следовательно, согласно необходимому условию экстремума функции одной переменной (см. п. 25.4), φ'(х0) = 0, т. е. ƒ’x(х0;y0)=0.
Аналогично можно показать, что ƒ’y(х0;у0) = 0.
Геометрически равенства ƒ’x(х0;у0)=0 и ƒ’y(х0;у0)=0 означают, что в точке экстремума функции z=ƒ(х;у) касательная плоскость к поверхности, изображающей функцию ƒ(х;у), параллельна плоскости Оху, т. к. уравнение касательной плоскости есть z=z0 (см. формулу (45.2)).
Замечание.
Функция может иметь экстремум в точках,
где хотя бы одна из частных производных
не существует.
Например, функцияимеет
максимум в точке О(0;0) (см. рис. 211), но не
имеет в этой точке частных производных.
Точка, в которой частные производные первого порядка функции z ≈ ƒ(х; у) равны нулю, т. е. f’x=0, f’y=0, называется стационарной точкой функ ции z.
Стационарные точки и точки, в которых хотя бы одна частная производная не существует, называются критическими точками.
В критических точках функция может иметь экстремум, а может и не иметь. Равенство нулю частных производных является необходимым, но не достаточным условием существования экстремума. Рассмотрим, например, функцию z = ху. Для нее точка О(0; 0) является критической (в ней z’x=у и z’y — х обращаются в ноль). Однако экстремума в ней функция z=ху не имеет, т. к. в достаточно малой окрестности точки О(0; 0) найдутся точки для которых z>0 (точки I и III четвертей) и z < 0 (точки II и IV четвертей).
Таким образом, для
нахождения экстремумов функции в данной
области необходимо каждую критическую
точку функции подвергнуть дополнительному
исследованию.
Теорема 46.2 (достаточное условие экстремума). Пусть в стационарной точке (хо;уо) и некоторой ее окрестности функция ƒ(х;у) имеет непрерывные частные производные до второго порядка включительно. Вычислим в точке (х0;у0) значения A=f»xx(x0;y0), В=ƒ»xy(х0;у0), С=ƒ»уy(х0;у0). Обозначим
Тогда:
1. если Δ > 0, то функция ƒ(х;у) в точке (х0;у0) имеет экстремум: максимум, если А < 0; минимум, если А > 0;
2. если Δ < 0, то функция ƒ(х;у) в точке (х0;у0) экстремума не имеет.
В случае Δ = 0 экстремум в точке (х0;у0) может быть, может не быть. Необходимы дополнительные исследования.
ЗАДАЧИ
1.
Пример. Найти
промежутки возрастания и убывания
функции . Решение. Первым
шагом является нахождение
обрасти определения функции.
В нашем примере выражение в знаменателе
не должно обращаться в ноль,
следовательно, .
Переходим
к производной функции:
Для
определения промежутков возрастания
и убывания функции по достаточному
признаку решаем неравенства и на
области определения.
Воспользуемся
обобщением метода интервалов. Единственным
действительным корнем числителя
является x
= 2,
а знаменатель обращается в ноль при x
= 0.
Эти точки разбивают область определения
на интервалы, в которых производная
функции сохраняет знак. Отметим эти
точки на числовой прямой. Плюсами и
минусами условно обозначим интервалы,
на которых производная положительна
или отрицательна. Стрелочки снизу
схематично показывают возрастание или
убывание функции на соответствующем
интервале.
Таким
образом, и .
В
точке
2.
Примеры.
Установить интервалы выпуклости и вогнутости кривой y = 2 – x2.
2)
lx=3,
ly=-4, |l|=5.
cosa=3/5,
cosb=(-4)/5.
dz/dl=11*3/5+0*(-4)/5=6,6.Производная неявной функции нескольких переменных.
Заглавная страница
Познавательные статьи
Избранные статьи
Случайная статья
Новые добавления
Обратная связьКАТЕГОРИИ:
Археология
Биология
Генетика
География
Информатика
История
Логика
Маркетинг
Математика
Менеджмент
Механика
Педагогика
Религия
Социология
Технологии
Физика
Философия
Финансы
Химия
ЭкологияТОП 10 на сайте
Приготовление дезинфицирующих растворов различной концентрации
Техника нижней прямой подачи мяча.
Франко-прусская война (причины и последствия)
Организация работы процедурного кабинета
Смысловое и механическое запоминание, их место и роль в усвоении знаний
Коммуникативные барьеры и пути их преодоления
Обработка изделий медицинского назначения многократного применения
Образцы текста публицистического стиля
Четыре типа изменения баланса
Задачи с ответами для Всероссийской олимпиады по праву
Мы поможем в написании ваших работ!ЗНАЕТЕ ЛИ ВЫ?
Влияние общества на человека
Приготовление дезинфицирующих растворов различной концентрации
Практические работы по географии для 6 класса
Организация работы процедурного кабинета
Изменения в неживой природе осенью
Уборка процедурного кабинета
Сольфеджио.
Все правила по сольфеджио
Балочные системы. Определение реакций опор и моментов защемления
⇐ ПредыдущаяСтр 2 из 3Следующая ⇒
Пусть непрерывная функция у от х задаётся неявно F(x, y) = 0, где F(x, y), F ‘ x(x, y), F ‘ y(x, y) есть непрерывные функции в некоторой области D, содержащей точку (х, у), координаты которой удовлетворяют соотношениям F (x, y) = 0, F ‘ y(x, y) ≠ 0. Тогда функция у от х имеет производную
.
Доказательство (смотри рисунок.). Пусть F ‘ y(x, y) > 0. Так как производная F ‘ y(x, y) непрерывна, то можно построить квадрат [х0 — δ’ , х0 + δ’ , у0 — δ’ , у0 + δ’ ], чтобы для всех его точек было F ‘y (x, y) > 0, то есть F(x, y) является монотонной по у при фиксированном х.

Таким образом, выполнены все условия теоремы существования неявной функции у = f (x), такой, что F(x, f (x)) º 0.
Зададим приращение Δ х. Новому значению х + Δ х будет соответствовать у + Δ у = f (x + Δ x), такое, что эти значения удовлетворяют уравнению F (x + Δ x, y + Δ y) = 0. Очевидно, чтоΔ F = F(x + Δ x, y + Δ y) − F(x, y) = 0
и в этом случае
, (7)
где
.
Из (7) имеем
.
Так как неявная функция у = f (x) будет непрерывна, то Δ у → 0 при Δ х → 0, значит α → 0 и β → 0. Откуда окончательно имеем
.
Что и требовалось доказать.
Частные производные и дифференциалы высших порядков.
Пусть частные производные функции z = f (x, y ), определенной в окрестности точки М, существуют в каждой точке этой окрестности.
В этом случае частные производные представляют собой функции двух переменных х и у, определенные в указанной окрестности точки М. Назовем их частными производными первого порядка. В свою очередь, частные производные по переменным х и у от функций в точке М, если они существуют, называются частными производными второго порядка от функции f (М) в этой точке и обозначаются следующими символамиЧастные производные второго порядка вида , , называются смешенными частными производными.
Дифференциалы высших порядков
Будем рассматривать dx в выражении для dy как постоянный множитель.Тогда функция dy представляет собой функцию только аргумента x и ее дифференциал в точке x имеет вид (при рассмотрении дифференциала от dy будем использовать новые обозначения для дифференциалов):
δ (d y) = δ [f ‘ (x) d x] = [f ‘ (x) d x] ‘ δ x = f » (x) d(x) δx .

Дифференциал δ (d y) от дифференциала dy в точке x, взятый при δx = dx, называется дифференциалом второго порядка функции f (x) в точке x и обозначается d2y, т.е.
d2y = f »(x)·(dx)2.
В свою очередь, дифференциал δ(d2y) от дифференциала d2y, взятый при δx = dx, называется дифференциалом третьего порядка функции f(x) и обозначается d3y и т.д. Дифференциал δ(dn-1y) от дифференциала dn-1f, взятый при δx = dx, называется дифференциалом n — го порядка (или n — м дифференциалом) функции f(x) и обозначается dny.
Докажем, что для n — го дифференциала функции справедлива формулаdny = y(n)·(dx)n, n = 1, 2, … (3.
1)При доказательстве воспользуемся методом математической индукции. Для n = 1 и n = 2 формула (3.1) доказана. Пусть она верна для дифференциалов порядка n — 1
dn−1y = y(n−1)·(dx)n−1,
и функция y(n-1)(x) дифференцируема в некоторой точке x. Тогда
Полагая δx = dx, получаем
что и требовалось доказать.
Для любого n справедливо равенствоили
т.е. n — я производная функции y = f ( x ) в точке x равна отношению n — го дифференциала этой функции в точке x к n — й степени дифференциала аргумента.
Производная по направлению функций нескольких переменных.
Рассматривается функция и единичный вектор . Проводится прямая l через т.
М0 с направляющим вектором Определение 1. Производная функции u = u(x, y, z) по переменной t называется производной по направлению l
Так как на этой прямой u – сложная функция одной переменной, то производная по t равна полной производной по t (§ 12).
Она обозначается и равна
Градиент функции. Связь между производной по направлению и градиентом функции.
Градиентом функции u(х1,х2,…,хn) называется вектор, координаты которого равны частным производным функции u :
В нашем случае Таким образом, производная по направлению равна:
, где φ − угол между направляющим вектором прямой и градиентом функции в данной точке. Отсюда следует геометрический и физический смысл градиента функции (необходимо помнить, что скорость изменения функции вдоль прямой l ):
1.
Градиент ортогонален касательной плоскости к поверхности уровня в данной точке.2. Градиент направлен в сторону максимального роста (изменения) функции в т.М0 .
{Этот максимум достигается при φ = 0, т.е. при }
3. Величина наибольшей скорости роста функции равна .
⇐ Предыдущая123Следующая ⇒
Читайте также:
Формы дистанционного обучения
Передача мяча двумя руками снизу
Значение правильной осанки для жизнедеятельности человека
Основные ошибки при выполнении передач мяча на месте
Последнее изменение этой страницы: 2016-08-06; просмотров: 1288; Нарушение авторского права страницы; Мы поможем в написании вашей работы!
infopedia.
su Все материалы представленные на сайте исключительно с целью ознакомления читателями и не преследуют коммерческих целей или нарушение авторских прав. Обратная связь — 161.97.168.212 (0.02 с.)Производная неявной функции. Производная по направлению и градиент. Экстремум функции нескольких переменных
Производная неявной функции.
— неявная (для двух переменных). (1)
Теорема: Пусть , т.е непрерывная функция задается не явно, где , , — непрерывные функции в некоторой области D, содержащей точку , координаты которой удовлетворяют уравнению (1), и в которой , тогда .
Доказательство: Переменным x и y дадим приращение и соответственно.
— полное приращение функции F.
| :
- бесконечно малые величины.
- производная от функции заданной неявно.

Пример:
- производные первого порядка.
- производные второго порядка
Определение: Частной производной n-го порядка, называется первая производная от производной n-1 -го порядка.
Пример:
;
и т.д.
Теорема: Если функция и ее частные производные определены и непрерывны в некоторой точке М(х,у) и в некоторой ее окрестности то, в точке М.
Производная по направлению и градиент.
Пусть функция задана в некоторой области D.
Проведем из точки М вектор с направляющими косинусами . На векторе рассмотрим точку М1 :
, т.е. М М1 =
Рассмотрим предел при :
- производная функции по направлению .
Пример:
Определение: Частные производные есть частный случай производной по направлению, если в качестве вектора , брать единичные векторы .

Определение: Градиентом функции u , называется вектор
Пример:
u — ?
u =
Определение: Производная по направлению некоторого вектора равна равна проекции вектора на вектор .
Свойства градиента:
1) Производная в данной точке по направлению вектора , имеет наибольшее значение, если направление вектора совпадает с направление вектора градиента, и это наибольшее значение равно модулю градиента.
2) Производная по направлению вектора перпендикулярному вектору градиента равна нулю.
3) Если , то в точке М перпендикулярен к линии уровня , лежащей в плоскости xOy и проходящей через точку М.
Экстремум функции нескольких переменных.
Определение: Функция имеет в точке М0 (х0,у0) максимум, если больше, чем для всех точек достаточно близких к ней, но отличных от нее.

Функция имеет минимум в точке М0 (х0,у0), если меньше, чем для всех точек достаточно близких к ней, но отличных от нее.
Точки в которых частная производная функции нескольких переменных равна нулю или не существует, называются стационарными точками.
Теорема (необходимое условие экстремума): Если достигает экстремума в точке с координатами (х0,у0), то каждая частная производная первого порядка от функции z, обращается в этой точке в нуль или не существует.
Доказательство:
Теорема (достаточное условие экстремума): Пусть в некоторой области D содержащей точку М0 (х0,у0), функция имеет непрерывные частные производные до третьего порядка включительно и точка М0 является стационарной точкой функции z. Тогда если:
1) и , то в точке М0 максимум.
2) и , то в точке М0 минимум.

3) , то нет экстремума.
4) , может быть, а может и не быть.
Пример:
1)
2)
3) в точке М0 минимум.
4) есть экстремум.
Условные экстремумы
Найти экстремум функции при условии, что х и у связаны между собой соотношением .
Составляем функцию
Пример:
Найти экстремум функции , при условии .
Элементы высшей алгебры.
Комплексные числа.
Комплексным числом z называется упорядоченная пара действительных чисел (a,b).
Число а, называется действительной частью числа z.
Число b, называется мнимой частью числа z.
Пример:
Числа вида jb называют, чисто мнимыми числами и они считаются корнями уравнения .
Геометрический смысл: комплексные числа отождествляются с точками плоскости хОу или с радиус-векторами этой плоскости.

Плоскость хОу называется комплексной плоскостью и обозначается С.
Два комплексных числа и считаются равными, если
Числа вида называют действительными числами и изображаются точками действительной оси (Ох).
Два комплексных числа у которых действительные части равны, а мнимые отличны только знаком называются взаимномопряженными.
То есть операция сопряжения отображает комплексное число относительно действительной оси.
— модуль комплексного числа z.
Замечание: аргумент комплексного числа многозначен и определяется с точностью до значения кратностью 2π.
— алгебраическая форма записи
— тригонометрическая форма записи
— показательная форма записи
— формула Эйлера
— формула Эйлера для косинуса.
— формула Эйлера для синуса.
— периодическая с периодом 2π.
Действия над комплексными числами
1)
2)
3)
4)
Формулы Муавра.
Определение: Корнем из числа , называется всякое комплексное число w , такое что .
, возведем w в n-ную степень
Т.е. корней n-ной степени из числа z ровно n штук и все они находятся на окружности радиуса в вершинах правильного n-угольника.
Пример:
Разложение многочлена на множители.
Дробь не правильная, если степень числителя больше или равна степени знаменателя.
Деление будет на цело тогда и только тогда, когда корень.
Курс по математическому анализу
1. Предел числовой последовательности.
2. Методы вычисления пределов последовательностей.
3. Предел функции в точке.
4. Бесконечно малые функции. Сравнение бесконечно малых функций.
5. Методы вычисления пределов функций.
6. Непрерывность функции в точке, на отрезке.

7. Классификация точек разрыва
8. Производная, ее вычисление, геометрический смысл.
9. Производные сложных, обратных функций.
10. Дифференцируемость, дифференциал.
11. Производные и дифференциалы высших порядков.
12. Исследование функций и построение графиков.
13. Кривые на плоскости.
14. Формула Тейлора.
15. Неопределенный интеграл, простейшие методы интегрирования.
16. Интегрирование некоторых классов функций.
17. Определенный интеграл. Формула Ньютона-Лейбница.
18. Применение определенного интеграла для площадей и длин дуг.
19. Несобственные интегралы.
20. Числовые ряды.
21. Сходимость знакоположительных рядов.
22. Сходимость знакопеременных рядов.
23. Функциональные ряды, равномерная сходимость.

24. Ряд Тейлора.
25. Ряд Фурье.
26. Сходимость ряда Фурье.
27. Функции многих переменных.
28. Частные производные, градиент.
29. Неявные функции.
30. Формула Тейлора для многих переменных.
31. Исследование на экстремум.
32. Условный экстремум.
33. Двойной и тройной интегралы.
34. Замена переменных в кратных интегралах.
35. Сферические и цилиндрические координаты.
36. Поверхностный интеграл по площади поверхности.
37. Криволинейный интеграл по длине дуги.
38. Скалярное поле.
39. Векторное поле.
40. Поток векторного поля.
41. Формула Остроградского.
42. Криволинейный интеграл в векторном поле.
43. Формула Стокса.
44.
Потенциальное поле.
Наверх
1. Предел числовой последовательности.
Последовательность — это функция, заданная на множестве натуральных чисел . Число называется пределом последовательности , если для любого положительного числа , как бы мало оно ни было, существует такой номер, что для всех c номерами справедливо неравенство . Неравенство , эквивалентное неравенству , означает, что для любого существует такой номер , что все c номерами расположены между и . Последовательность, предел которой — конечное число , называется сходящейся, и ее предел обозначают. Если изобразить элементы последовательности на плоскости точками с координатами , то неравенства означают, что все точки с номерами расположены между параллельными оси абсцисс прямыми и .
Бесконечно малая последовательность. Последовательность , предел которой равен нулю , называется бесконечно малой.
Бесконечно большая последовательность. Последовательность называется бесконечно большой, если для любого положительного числа , как бы велико оно ни было, существует такой номер , что для всех с номерамисправедливо неравенство , записываем .

Наверх
2. Методы вычисления пределов последовательностей.
Пусть заданы две последовательности и . Если существуют и , то существуют и пределы суммы и произведения последовательностей, а при и предел частного, причем , , . Для правильного применения этих теорем очень важно существование пределов каждой последовательности.
Неопределенности и их раскрытие.
Если и , то может существовать . В этом случае говорят, что имеем неопределенность типа . Также может существовать , в этом случае имеем неопределенность типа . Если и , то может существовать . В этом случае говорят, что имеем неопределенность типа . Поскольку в перечисленных случаях не применимы теоремы о пределе суммы, произведения и частного, используют другие способы вычисления, которые называют методами раскрытия неопределенностей. Это, как правило, алгебраические преобразования, приводящие выражения к виду, при котором можно пользоваться упомянутыми теоремами.

Наверх
3. Предел функции в точке.
Рассмотрим функцию , определенную в некоторой окрестности точки , , , за исключением, быть может, самой точки . Число называется пределом функции при , стремящемся к , если для любого положительного числа , как бы мало оно ни было, существует такое положительное число , что для всех , удовлетворяющих неравенству , справедливо неравенство . Говорят “предел функции в точке ” и обозначают . Неравенство для всех , эквивалентное неравенствам , , означают, что для любого существует такое , что для график функции расположен на плоскости в прямоугольнике . При вычислениях на компьютере мы имеем дело с дискретными значениями переменных. Поэтому удобнее пользоваться другим, эквивалентным приведенному, определением предела. А именно: , если для любой, сходящейся к последовательности значений аргумента , соответствующая последовательность значений функции сходится к числу . Отсюда следует, в частности, что для любого существует такое , что для любой последовательности , сходящейся к , точки с координатами находятся на плоскости внутри прямоугольника .
Бесконечно большие функции.
Если для любой последовательности значений аргумента соответствующая последовательность значений функции бесконечно большая, то функция называется бесконечно большой в точке . Если бесконечно большая в точке , то для любого положительного числа , как бы велико оно ни было, существует такое число , что для всех , удовлетворяющих неравенству , справедливо неравенство ; обозначают .
Наверх
4. Бесконечно малые функции. Сравнение бесконечно малых функций.
Рассмотрим функцию, определенную в некоторой окрестности точки , , за исключением, быть может, самой точки . Функция называется бесконечно малой при , стремящемся к , если . Если — бесконечно малая в точке , то для любого положительного числа , как бы мало оно ни было, существует такое положительное число , что для всех , удовлетворяющих неравенству , справедливо неравенство . Неравенства для всех , эквивалентные неравенствам , , означают, что для любого существует такое , что для график функции расположен на плоскости в прямоугольнике .
Важно, что слова “за исключением, быть может, самой точки ” означают, что нас не интересует сама эта точка. Это можно понять, если рассмотреть функцию. При x, стремящемся к нулю, функция-таки стремится к нулю, независимо от того, какое значение она принимает в точке x=0. Следовательно, предел равен нулю и функция является бесконечно малой. Сравнение бесконечно малых функций.
Пусть и — две функции, бесконечно малые в точке . Если , то говорят, что более высокого порядка малости, чем и обозначают . Если же , то более высокого порядка малости, чем ; обозначают . Бесконечно малые функции и называются бесконечно малыми одного порядка малости, если , обозначают . И, наконец, если не существует, то бесконечно малые функции и несравнимы.
Эквивалентные бесконечно малые функции.
Если , то бесконечно малые функции и называются эквивалентными, обозначают ~ .
Наверх
5. Методы вычисления пределов функций.
Пусть заданы две функции и .
Если существуют и , то существуют и пределы суммы и произведения этих функций, а при и предел частного, причем ,
,
.
Для правильного применения этих теорем очень важно существование пределов каждой функции. Не трудно доказать, что предел постоянной функции равен этой постоянной, то есть . Из приведенных формул следует полезное утверждение:
, то есть постоянный множитель можно выносить за знак предела. Если сделать замену переменной , то вычисление предела при всегда можно свести к вычислению предела при . Из определения непрерывной функции следует, что ее предел совпадает со значением функции в этой точке. Доказывают, что все элементарные функции непрерывны в области определения, поэтому, если функция определена, то вычисление предела сводится к применению указанных теорем и подстановке в выражение для функции.
Неопределенности и их раскрытие.
Существуют случаи, когда не применимы теоремы о пределах суммы, произведения, частного, но предел существует и может быть вычислен.
Если и , то может существовать . В этом случае говорят, что имеем неопределенность типа . Также может существовать , в этом случае имеем неопределенность типа . Если и , то может существовать . В этом случае говорят, что имеем неопределенность типа . Если и , то может существовать — неопределенность типа . Рассматривают также неопределенности типа , и т. д. Основным признаком неопределенности является невозможность корректного вычисления функции простой подстановкой в выражение для функции. Полезно запомнить замечательные пределы: (е = 2.71828… — основание натуральных логарифмов) — неопределенность типа .
— неопределенность типа .
Использование эквивалентных бесконечно малых.
Если мы имеем неопределенность типа , то это означает, что мы вычисляем предел отношения двух бесконечно малых функций. Напомним, что функция называется бесконечно малой, если ее предел в точке равен нулю. Пусть, , , — бесконечно малые функции при , причем эквивалентна , т.
е. ~ , ~ (напомним, что две бесконечно малых называются эквивалентными, если предел их отношения равен 1). Тогда, т.е. при вычислении пределов отношений бесконечно малых любую из них можно заменять на эквивалентную. Правило Лопиталя.
Неопределенности типа или удобно раскрывать с помощью правила Лопиталя. Пусть и две бесконечно малые или бесконечно большие функции при и существует предел отношения их производных при . Тогда . Если в результате применения правила Лопиталя снова получится неопределенность, то его можно применить еще раз.
Формула Тейлора.
Пусть функция имеет в точке производные всех порядков до -го включительно. Тогда для справедлива формула Тейлора:
где называется остаточным членом формулы Тейлора.
Наверх
6. Непрерывность функции в точке, на отрезке.
Рассмотрим функцию , определенную на некотором промежутке . Функция непрерывна в точке , если предел функции в точке равен значению функции в этой точке,.
Свойства функций, непрерывных на отрезке.
Функция, непрерывная в каждой точке промежутка , называется непрерывной на промежутке. Для функции, непрерывной на отрезке , справедливы следующие утверждения.
Функция, непрерывная на отрезке , достигает на нем своих наибольшего и наименьшего значений, т.е. на отрезке существуют точки такие, что
.
Если функция непрерывна на отрезке и принимает на концах значения разных знаков, то на интервале существует точка , в которой функция обращается в нуль, т.е. . Это утверждение применяют для отделения корней уравнений с непрерывной левой частью — если найден отрезок, на концах которого функция принимает значения разных знаков, то можно утверждать, что на этом отрезке есть хотя бы один корень уравнения.
Если функция непрерывна на отрезке , дифференцируема хотя бы на интервале , то на интервале существует точка , такая, что . Это свойство называют формулой Лагранжа или формулой конечных приращений.

Наверх
7. Классификация точек разрыва
Рассмотрим функцию , определенную на некотором промежутке . Функция непрерывна в точке , если предел функции в точке равен значению функции в этой точке, .
Односторонние пределы функции в точке.
Функция, непрерывная в каждой точке промежутка , называется непрерывной на промежутке. Если функция определена на промежутке , , то при исследовании поведения функции в окрестности точки имеет смысл говорить о пределе функции в точке справа, а при исследовании в окрестности точки — о пределе функции в точке слева. Число называется пределом справа функции при , стремящемся к , если для любого положительного числа , как бы мало оно ни было, существует такое положительное число , что для всех , удовлетворяющих неравенству , справедливо неравенство . Говорят “предел справа функции в точке ” и обозначают . Аналогично говорят “предел слева функции в точке ” и обозначают , если для любого положительного числа , как бы мало оно ни было, существует такое положительное число , что для всех , удовлетворяющих неравенству , справедливо неравенство .
Для существования предела функции в точке, необходимо и достаточно, чтобы существовали и совпадали односторонние пределы функции в этой точке. По той же схеме вводится понятие непрерывности слева и непрерывности справа. Функция, определенная на отрезке , , непрерывна справа в точке , если и непрерывна слева в точке , если. Для того чтобы функция была непрерывна в точке необходимо и достаточно, чтобы односторонние пределы функции в точке совпадали со значением функции в этой точке:. Если хотя бы одно из равенств нарушается, говорят о разрыве в точке . Классификация разрывов.
Если хотя бы одно из равенств нарушается, говорят о разрыве в точке . Если и односторонние пределы конечны, то разрыв в точке называется устранимым. Если и оба односторонние пределы конечны, то говорят о скачке функции в точке . Устранимый разрыв и скачок называются разрывами первого рода. Если один из односторонних пределов бесконечен или не существует, то разрыв называется разрывом второго рода. Так же, как для предела и непрерывности, говорят о разрыве слева и разрыве справа.

Наверх
8. Производная, ее вычисление, геометрический смысл.
Производная функции в точке — Пусть функция определена на промежутке . Точка — произвольная точка из области определения функции, — приращение функции в точке , вызванное приращением независимой переменной . Производной функции по независимой переменной в точке , называется предел отношения приращения функции к приращению при стремлении к нулю, т.е.
,
— производная функции в точке .
Односторонние производные — Если определена при , то можно определить правую производную функции в точке :
Аналогично, если определена при , определяется левая производная функции в точке :
Функция имеет в точке производную тогда и только тогда, когда в точкесовпадают ее левая и правая производные: .
Секущая графика функции — Пусть — функция, определенная на промежутке . Прямая, проходящая через точки , , , называется секущей графика функции .
Угловой коэффициент секущей равен и ее уравнение имеет вид . Касательная и нормаль к графику функции — Касательной к графику функции в точке называется предельное положение секущей, проходящей через точки , , когда . Угловой коэффициент касательной равен значению производной в точке и ее уравнение имеет вид . Нормалью к графику функции в точке называется прямая , проходящая через эту точку перпендикулярно касательной. Угловой коэффициент нормали равен и ее уравнение имеет вид .
Наверх
9. Производные сложных, обратных функций.
Пусть — функция, дифференцируемая в точке , — функция, дифференцируемая в точке , причем . Тогда — сложная функция независимого переменного , дифференцируема в точке и ее производная в этой точке вычисляется по формуле .
Обычно называют внешней функцией, а — внутренней. При вычислении производной сложной функции сначала дифференцируют внешнюю функцию, не обращая внимания на внутреннюю (ведь она может быть любой), затем умножают на производную конкретной внутренней функции.
Производная обратной функции.
Пусть функция дифференцируема и строго монотонна на . Пусть также в точке производная . Тогда в точке определена дифференцируемая функция , которую называют обратной к , а ее производная вычисляется по формуле .
Наверх
10. Дифференцируемость, дифференциал.
Дифференцируемость функции в точке.
Пусть функция определена в некоторой окрестности точки . Рассмотрим приращение функции в этой точке: . Функция называется дифференцируемой в точке , если ее приращение можно записать в виде , где — приращение независимой переменной, А – постоянная, не зависящая от , — бесконечно малая функция при .
Дифференциал функции.
Дифференциалом функции в точке называется линейная по часть приращения . Дифференциал обозначается , то есть . Рассматривая функцию , нетрудно убедиться, что , если — независимая переменная.
Связь дифференциала и производной.
Воспользуемся определением производной для дифференцируемой функции в точке : .
Таким образом, дифференциал функции выражается формулой , то есть для вычисления дифференциала необходимо лишь вычислить производную и умножить ее на . Поэтому часто слова “вычисление производной” и “дифференцирование” считают синонимами. Для того, чтобы функция была дифференцируема в точке, необходимо и достаточно, чтобы в этой точке существовала конечная производная. Наверх
11. Производные и дифференциалы высших порядков.
Производные высших порядков.
Рассмотрим функцию , определенную на некотором промежутке . Вычислим производную , которая также является функцией на . Производной второго порядка от функции называется производная от ее производной: . Аналогично определяют производную любого порядка: .
Дифференциалы высших порядков.
Рассмотрим дифференциал функции в произвольной точке промежутка : . Здесь — приращение независимой переменной, которое является числом и не зависит от . Сам же дифференциал есть функция от , и можно вычислить дифференциал от этой функции: При этот дифференциал от дифференциала называется дифференциалом второго порядка и вычисляется по формуле Аналогично вычисляется дифференциал любого порядка .

Понятие инвариантности формы дифференциала.
Рассмотрим дифференциал функции в произвольной точке промежутка : . Здесь — приращение независимой переменной, которое является числом и не зависит от . Пусть теперь — функция независимого переменного , определенная на промежутке . Тогда — сложная функция переменного . Вычислим ее дифференциал, используя формулу для производной сложной функции: . Заметим, что и выражение для дифференциала принимает ту же форму , хотя здесь уже функция переменного . Это свойство дифференциала первого порядка называется инвариантностью (т.е. неизменностью) его формы. При вычислении дифференциала второго порядка придется учитывать, что — функция переменного . Поэтому и форма второго (а также и всех следующих) дифференциала неинвариантна.
Наверх
12. Исследование функций и построение графиков.
Рассмотрим функцию , определенную на промежутке (возможно, ) . Характер поведения функции в области определения можно исследовать, опираясь на следующие утверждения.
Если , то график функции пересекает ось абсцисс в точке .
Если , то график функции пересекает ось ординат в точке .
Если в точке функция имеет бесконечный разрыв, то график функции имеет вертикальную асимптоту (Если расстояние от точки кривой до некоторой определенной прямой по мере удаления точки в бесконечность стремится к нулю, то эта прямая называется асимптотой кривой. В случае бесконечного разрыва расстояние от кривой до вертикальной асимптоты стремится к нулю при справа, слева или с обеих сторон).
Если , или , существуют и конечны пределы и , то прямая — асимптота графика функции.
Если , то график функции имеет на левой границе области сходимости вертикальную асимптоту ; аналогично, если , то график функции имеет на правой границе области сходимости вертикальную асимптоту .
Если и существует такое число , что для любого , то исследуемая функция периодична с периодом ; в этом случае достаточно построить график функции на промежутке и доопределить его по периодичности на всю числовую ось.

Если , то исследуемая функция четная; этом случае график симметричен относительно оси ординат; достаточно построить график функции на промежутке и отобразить его симметрично относительно оси ординат на .
Если , то исследуемая функция нечетная; этом случае график симметричен относительно начала координат; достаточно построить график функции на промежутке и отобразить его симметрично относительно начала координат на .
Исследование функций с помощью производной.
Если функция дифференцируема на промежутке , за исключением, быть может, конечного числа точек этого промежутка, то можно дополнить изучение поведения функции исследованием на экстремум (точки максимума и точки минимума функции имеют общее название — точки экстремума), используя следующие утверждения.
Для того, чтобы дифференцируемая на функция не убывала (не возрастала) на этом промежутке, необходимо и достаточно, чтобы () на .
Пусть в точке производная или не существует. Если существует окрестность точки , такая, что для из этой окрестности при и при , то функция имеет в точке максимум.
Если же при и при , то функция имеет в точке минимум (в этом случае говорят, что “производная меняет знак при переходе через точку ”).Если непрерывная в точке функция дифференцируема на , при этом на и на , то функция имеет в точке максимум; если же при и при , то функция имеет в точке минимум.
Исследование функций с помощью второй производной.
Если функция дважды дифференцируема на промежутке , за исключением, быть может, конечного числа точек этого промежутка, то исследование поведения функции можно дополнить исследованием выпуклости и вогнутости.
График функции называется выпуклым (выпуклым вниз) на промежутке , если он расположен выше касательной, проведенной в любой точке , . Если же график функции лежит ниже касательной, — то он называется вогнутым (выпуклым вверх).
Если дважды дифференцируемая на промежутке функция имеет на нем положительную вторую производную, то функция выпуклая на . Если же вторая производная отрицательна на промежутке , то функция на нем вогнута.
Если вторая производная равна нулю в точке , а слева и справа от нее имеет значения разных знаков, точка — точка перегиба.
Наверх
13. Кривые на плоскости.
Кривые на плоскости в декартовых координатах.
Кривая на плоскости в прямоугольных (декартовых) координатах — это множество точек, координаты которых связаны соотношениями , , , или ; первые два соотношения задают кривую явно, последнее — неявно. Кривая, заданная уравнением , , называется гладкой, если функция дифференцируема на промежутке . В каждой точкегладкой кривой можно провести касательную , уравнение которой . Уравнение нормали в той же точке имеет вид или . Кривая, заданная неявно уравнением , называется гладкой, если на ней нет особых точек (точка линии называется особой, если в ней одновременно обращаются в нуль обе частные производные функции : ). Уравнения касательной и нормали к такой кривой, проходящих через точку , , имеют соответственно вид и
Кривые, заданные параметрически.

Уравнения , , устанавливающие зависимость декартовых координат точки плоскости от значения параметра , определяют на плоскости кривую, заданную в параметрической форме (говорят еще — заданную параметрически). Поскольку производная функции , заданной параметрически уравнениями , в точке, которая не является особой точкой кривой, вычисляется по формуле , то уравнения касательной и нормали к кривой, проходящих через точку , имеют соответственно вид: .
Кривые в полярных координатах.
Декартовы координаты точки на плоскости связаны с полярными координатамисоотношениями . Многие кривые на плоскости удобно описывать как функции радиуса-вектора и полярного угла — в полярных координатах. Так, уравнение единичной окружности в полярных координатах имеет вид . Уравнение кривой в полярных координатахобычно имеет вид . Угловой коэффициент касательной к графику функции, заданной уравнением , в точке равен , а декартовы координаты точки равны соответственно и .
Наверх
14.
Формула Тейлора.Остаточный член формулы Тейлора — Пусть функция имеет в точке производные всех порядков до -го включительно. Тогда для справедлива формула Тейлора:
,
где , называется остаточным членом формулы Тейлора в форме Пеано; — бесконечно малая более высокого порядка малости, чем . Если отбросить остаточный член, то получится приближенная формула Тейлора
,
правая часть которой называется многочленом Тейлора функции ; его обозначают . Приближенная формула позволяет заменять в различных математических расчетах (аналитических и численных) произвольную функцию ее многочленом Тейлора.
Из формулы Тейлора видно, что чем точка ближе к точке , тем выше точность такой аппроксимации и эта точность растет с ростом степени многочлена. Это означает, в свою очередь, что чем больше производных имеет функция в некоторой окрестности точки , тем выше точность, с которой многочлен Тейлора аппроксимирует функцию в этой окрестности.
Разложение основных элементарных функций — Положив и вычислив соответствующие производные в нуле, получим формулы Тейлора для основных элементарных функций:
;
;
;
;
;
;
.

Разложение функций с использованием стандартных разложений — Для разложения по формуле Тейлора функции в окрестности произвольной точки необходимо сделать замену переменной , то есть , и воспользоваться одним из приведенных выше разложений основных функций в окрестности точки .
Наверх
15. Неопределенный интеграл, простейшие методы интегрирования.
Первообразная и неопределенный интеграл — Рассмотрим функцию , определенную на промежутке (здесь возможно ). Дифференцируемая на промежутке функция , производная которой в каждой точке равна , называется первообразной функции : . Поскольку , то можно говорить о семействе первообразных — множестве функций вида , . Семейство первообразных функции называется неопределенным интегралом функции и обозначается символом : для всех . Здесь — знак интеграла, — подынтегральное выражение, — подынтегральная функция, — переменная интегрирования, — значение неопределенного интеграла, семейство первообразных функции , .
То есть производнаянеопределенного интеграла равна подынтегральной функции. Наоборот, , следовательно, дифференцирование и вычисление неопределенного интеграла, – взаимно обратные операции. Не представляет труда с помощью таблицы производных составить таблицу неопределенных интегралов. Важным свойством неопределенного интеграла является линейность: , здесь — постоянные. Вычисление неопределенного интеграла обычно сводится к преобразованию подынтегрального выражения так, чтобы можно было воспользоваться таблицей интегралов. Интегрирование заменой переменной — Если — непрерывно дифференцируемая функция, то, полагая , получим формулу интегрирования заменой переменной . Если замена переменной выбрана правильно, то интеграл в правой части должен легко вычисляться. Для некоторых классов функций существуют стандартные замены, сводящие интеграл к табличному.
Интегрирование по частям — Пусть — непрерывно дифференцируемые функции. Тогда справедлива формула интегрирования по частям .
Название “по частям” связано с тем, что для записи интеграла в правой части нужно проинтегрировать “часть” подынтегрального выражения в левой части. Метод интегрирования по частям используется для интегралов вида , , , и некоторых других.Наверх
16. Интегрирование некоторых классов функций.
Интегрирование рациональных функций — Функция называется рациональной, если она вычисляется с помощью четырех арифметических действий, то есть в общем случае является частным от деления двух многочленов: . Если , рациональная дробь называется правильной. Неопределенный интеграл от рациональной функции всегда можно вычислить. Для этого:
Если , выделяем целую часть рациональной дроби с помощью деления многочлена на многочлен. Правильную рациональную дробь (или правильный остаток от деления) раскладываем на простейшие дроби. Вид разложения определяется корнями многочлена , а именно:
Каждому действительному корню кратности 1 в разложении соответствует член .
Каждому действительному корню кратности в разложении соответствует набор из членов .
Каждой паре комплексно сопряженных корней кратности 1 в разложении соответствует член ( — корни уравнения ).
Каждой паре комплексно сопряженных корней кратности в разложении соответствует набор из членов .
В приведенных выражениях — неопределенные коэффициенты, которые можно найти, приводя разложение обратно к общему знаменателю , приравнивая полученные коэффициенты при степенях к соответствующим коэффициентам и решая систему относительно .
Наконец, полученное разложение интегрируем почленно.
Интегрирование тригонометрических функций — Интегралы вида , где — рациональная функция своих аргументов, вычисляются с помощью универсальной замены переменной . При этом . Однако универсальная замена обычно связана с большими вычислениями, поэтому в некоторых случаях можно ее избежать.
Интегралы вида вычисляются с помощью замены . Интегралы вида вычисляются с помощью замены .
Интегралы вида , если , то есть четная рациональная функция своих аргументов вычисляются с помощью замены . Интегралы вида вычисляются с помощью формул понижения степени .
Интегрирование иррациональных функций — Общий принцип интегрирования иррациональных выражений заключается в замене переменной, позволяющей избавиться от корней в подынтегральном выражении. Для некоторых классов функций эта цель достигается с помощью стандартных замен.
Интегралы вида , где — рациональная функция своих аргументов, вычисляются заменой .
Интегралы вида вычисляются заменой или .
Интегралы вида вычисляются заменой или . Интегралы вида вычисляются заменой или .
Наверх
17. Определенный интеграл. Формула Ньютона-Лейбница.
Определенный интеграл, его геометрический смысл.
Рассмотрим функцию , определенную на промежутке . Разобьем промежуток на произвольных частей точками и обозначим , , . На каждом промежутке возьмем произвольную точку и вычислим в ней значение функции.
Выражение называется интегральной суммой функции на .Если при существует и конечен предел последовательности частичных сумм , не зависящий ни от способа разбиения промежутка точками , ни от выбора , то этот предел называют определенным интегралом от функции по промежутку , а саму функцию — интегрируемой на . Обозначают . Из приведенного определения естественно следует геометрический смысл определенного интеграла: если , то равен площади фигуры, ограниченной графиком функции, осью абсцисс и прямыми .
Формула Ньютона-Лейбница.
Значение определенного интеграла может быть вычислено по формуле Ньютона-Лейбница =, здесь символ означает, что из значения при верхнем пределе b нужно вычесть значение при нижнем пределе a , — первообразная функция для . Таким образом, вычисление определенного интеграла сводится к нахождению первообразной, то есть неопределенного интеграла.
Методы вычисления определенного интеграла.
Если — непрерывно дифференцируемая на отрезке функция, , и , когда изменяется на , то, положив , получим формулу замены переменной в определенном интеграле .

Пусть — непрерывно дифференцируемые функции. Тогда справедлива формула интегрирования по частям . Эта формула применяется для тех же классов функций, что и при вычислении неопределенного интеграла.
Наверх
18. Применение определенного интеграла для площадей и длин дуг.
Вычисление площадей и длин дуг кривых в декартовых координатах.
Пусть на плоскости задана область, ограниченная снизу кривой , заданной в декартовых координатах, сверху – кривой , слева – прямой (ее может и не быть, если ), справа – прямой . Исходя из геометрического смысла определенного интеграла, площадь этой области можно вычислить по формуле . Здесь не нужно заботиться, какая из функций и где положительная, а какая отрицательная. Если, например, , то формула сама прибавит нужную площадь. Более сложные области всегда можно разбить так, чтобы выполнялись указанные условия.
Пусть на отрезке уравнением задана плоская кривая. Ее длина вычисляется по формуле
Вычисление площадей и длин дуг при параметрическом задании кривых.

Если область на плоскости снизу ограничена кривой, заданной параметрически, то есть , при этом , а сверху – кривой . Тогда площадь такой плоской фигуры вычисляем по формуле . Эта формула совпадает с формулой вычисления площади в декартовых координатах, если учесть, что .
Пусть кривая на плоскости задана параметрически . Тогда длина этой кривой вычисляется по формуле .
Вычисление площадей и длин дуг кривых в полярных координатах.
Когда кривая, ограничивающая область, задана в полярных координатах , то площадь этой области вычисляем по формуле . Основная трудность в использовании этой формулы заключается в определении пределов интегрирования . Здесь нужно понимать, что кривая определена только, если . Поскольку в формуле присутствует , то она учтет и не существующую площадь, когда . Решив уравнение , найдем пределы интегрирования.
Если кривая, ограничивающая область, задана в полярных координатах , то ее длина вычисляется по формуле . Пределы интегрирования определяются из тех же соображений, что и при вычислении площади.

Наверх
19. Несобственные интегралы.
Интеграл как функция верхнего предела.
Для функции , интегрируемой для всех , значение интеграла зависит от значения верхнего предела ; можно рассмотреть функцию переменной : каждому значению ставится в соответствие число, равное значению интеграла . Таким образом, можно рассматривать определенный интеграл как функцию верхнего предела: ; функция определена в области интегрируемости подынтегральной функции . Если — первообразная для , то значение можно вычислить по формуле Ньютона—Лейбница: . Функцию можно исследовать, не вычисляя первообразной. Для интегрируемой при функции справедливы следующие утверждения: непрерывна на промежутке , причем ; если при , то монотонно возрастает на промежутке ; если непрерывна при , то дифференцируема на промежутке , причем .
Несобственные интегралы по неограниченному промежутку.
Пусть функция интегрируема для всех и . Если существует предел , то этот предел называют несобственным интегралом по неограниченному промежутку и обозначают его .
Если предел конечен, то говорят, что несобственный интеграл сходится и его значение вычисляют по формуле . Аналогично определен интеграл для интегрируемой при функции и интеграл для функции , интегрируемой на . Если рассмотренные пределы бесконечны, то говорят, что соответствующий несобственный интеграл расходится. Несобственные интегралы от неограниченных функций.
Пусть функция интегрируема на любом отрезке, целиком содержащемся в промежутке, и бесконечно большая в точке . Если существует предел , то этот предел называют несобственным интегралом от неограниченной функции по и обозначают его . Если предел конечен, то говорят, что несобственный интеграл сходится и его значение вычисляют по формуле . Аналогично определен интеграл от интегрируемой на любом конечном отрезке, содержащемся в , бесконечно большой в точке функции . Если пределы бесконечны, то говорят, что соответствующий несобственный интеграл расходится.
Исследование несобственных интегралов на сходимость.

Вычисление несобственных интегралов сводится к вычислению первообразной, использованию формулы Ньютона-Лейбница и вычислению предела. Каждый из этапов сам по себе достаточно сложен, и разумно приступать к ним, если есть уверенность, что интеграл сходится, то есть предел конечен. Поэтому, в конечном счете, самым важным в теории несобственных интегралов является исследование их на сходимость: если интеграл расходится, то его и вычислять не надо. Одним из главных инструментов исследования несобственных интегралов на сходимость являются теоремы сравнения.
Рассмотрим две неотрицательные функции и , определенные при . Пусть для всех , начиная с некоторого числа . Тогда, если сходится интеграл от большей функции , то сходится и интеграл от меньшей, то есть. Если расходится интеграл от меньшей функции ,то расходится и интеграл от большей — .
Если , то несобственные интегралы от этих функций или оба сходятся или оба расходятся.
Аналогичные утверждения, которые называют признаками сравнения, имеют место и для интегралов по конечному промежутку от неограниченных функций.

Наверх
20. Числовые ряды.
Числовой ряд. Рассмотрим произвольную числовую последовательность и формально составим сумму ее членов Это выражение называют числовым рядом, или просто рядом. Члены последовательности называют членами ряда. Конечно, невозможно вычислить сумму бесконечного числа слагаемых, но легко вычислить сумму первых n членов ряда . Эта сумма называется n-ой частичной суммой.
Сходимость числового ряда. Ряд называют сходящимся, если существует и конечен предел последовательности частичных сумм ряда. Сам предел при этом называют суммой ряда и обозначают , . Если предел частичных сумм не существует или бесконечен, то ряд расходится. Разность называется остатком ряда. Очевидно, что для сходящегося ряда . Это означает, что сумму сходящегося ряда можно вычислить с любой точностью, заменяя ее частичной суммой соответствующего порядка. Для расходящегося ряда это не так. Поэтому сходимость или расходимость конкретного ряда является основным вопросом для исследования.
Если ряд сходится, то (необходимое условие сходимости ряда). Обратное, вообще говоря, неверно. Члены ряда могут стремиться к нулю, но ряд при этом может расходиться. Суммирование числовых рядов. Если возможно найти общий член последовательности , то по определению можно найти и сумму ряда, вычисляя предел этой последовательности.
Наверх
21. Сходимость знакоположительных рядов.
Теоремы сравнения.
1. Рассмотрим два числовых ряда с неотрицательными членами и , . Если при всех n, начиная с некоторого номера, , то из сходимости ряда следует сходимость ряда. Наоборот, из расходимости ряда следует расходимость ряда.
2. Если для таких же двух рядов , то оба ряда или сходятся или расходятся одновременно. При использовании теорем сравнения нужно иметь ряд-эталон, с которым сравнивать и про сходимость которого известно заранее. В качестве таких рядов чаще всего берут обобщенный гармонический ряд , который сходится при и расходится при , или геометрический ряд , который сходится при и расходится при .
Признаки сходимости. Признаки сходимости Даламбера. Для ряда с положительными членами , вычислим . Если , то ряд сходится, — расходится. При признак Даламбера ответа не дает: ряд может как сходиться, так и расходиться.
Признак сходимости Коши. Для ряда с неотрицательными членами , вычислим . Если , то ряд сходится, — расходится. При признак Коши ответа не дает: ряд может как сходиться, так и расходиться.
Наверх
22. Сходимость знакопеременных рядов.
Абсолютная и условная сходимость. Если в последовательности бесконечно много положительных и отрицательных членов, то ряд называется знакопеременным. Ряд называется знакочередующимся. Знакопеременный ряд называется абсолютно сходящимся, если сходится ряд . Если ряд из модулей расходится, а сам ряд сходится, то его называют условно сходящимся. Исследование знакопеременного ряда начинают с исследования на сходимость ряда из модулей методами для рядов с неотрицательными членами.
Если такой ряд сходится, то получен ответ: ряд сходится абсолютно. Исследование знакочередующихся рядов. Если ряд из модулей расходится, то для знакочередующегося ряда можно применить признак Лейбница: если последовательность стремится к нулю, монотонно убывая, , то ряд сходится, по крайней мере, условно. Для знакочередующегося ряда очень просто оценивается остаток ряда: .
Наверх
23. Функциональные ряды, равномерная сходимость.
Функциональный ряд, его сходимость. Рассмотрим ряд, , членами которого являются функции, определенные на промежутке . При каждом фиксированном имеем числовой ряд, сходимость которого может быть исследована рассмотренными ранее методами. Сумма функционального ряда также является функцией от х: . По определению предела последовательности: если для можно указать номер ( что интересно, для каждого фиксированного — свой номер, т.е. ), такой, что для выполняется неравенство , то это и означает, что функциональный ряд сходится к функции.
Множество , для которого это выполняется, называется областью сходимости функционального ряда. Равномерная сходимость функционального ряда. Пусть , т.е. функциональный ряд сходится. Если для можно указать номер независимо от , такой, что для выполняется неравенство , то говорят, что функциональный ряд сходится равномерно на множестве .
Исследование на равномерную сходимость. Признак Вейерштрасса равномерной сходимости функционального ряда: если существует сходящийся числовой ряд с положительными членами, такой, что для всех , начиная с некоторого номера и всех выполняется неравенство , то функциональный ряд сходится на равномерно. Числовой ряд в этом случае называют мажорантой для функционального ряда.
Наверх
24. Ряд Тейлора.
Степенные ряды. Функциональный ряд , где — числовая последовательность, называется степенным рядом. Степенной ряд сходится на интервале с центром в точке . Число — радиус сходимости степенного ряда может быть вычислено по формулам , или .
Степенной ряд сходится равномерно на любом отрезке, целиком лежащем внутри интервала сходимости. Сходимость степенного ряда на границах интервала сходимости необходимо исследовать специально для конкретного ряда. Разложение функций в ряд Тейлора. При исследовании свойств бесконечно дифференцируемых функций изучают их степенные ряды ряды Тейлора. Пусть функция определена в некоторой окрестности точки и имеет в этой точке производные всех порядков. Ряд
называется рядом Тейлора для функции в точке . При такой ряд называют также рядом Маклорена: . Функция может быть разложена в степенной ряд на интервале , если существует степенной ряд, сходящийся к на этом интервале. Если функция раскладывается в степенной ряд в некоторой окрестности точки , то это ряд Тейлора. Пусть функция бесконечно дифференцируема на интервале и все ее производные ограничены в совокупности на этом интервале, то есть существует число , такое, что для всех и для всех справедливо неравенство .
Тогда ряд Тейлора сходится к для всех . Приведем разложения в ряд Тейлора для основных элементарных функций. Наверх
25. Ряд Фурье.
Ряд Фурье, его сходимость. Пусть функция абсолютно интегрируема на отрезке , то есть существует . Тогда ей можно поставить в соответствие ее тригонометрический ряд Фурье: . Коэффициенты тригонометрического ряда Фурье называют коэффициентами Фурье и вычисляют по формулам Эйлера-Фурье: . Если функция кусочно-гладкая на отрезке , то ее тригонометрический ряд Фурье сходится в каждой точке этого отрезка. При этом, если — сумма ряда Фурье, то для любого . То есть, если непрерывна в точке , то . Если в точке у разрыв первого рода, то ряд Фурье сходится к среднеарифметическому левого и правого пределов функции в точке .
Разложение в ряд Фурье на произвольном отрезке. Для кусочно-гладкой на отрезке функции задача о разложении в ряд Фурье на этом отрезке линейной заменой сводится к задаче о разложении функции на отрезке : , .

Наверх
26. Сходимость ряда Фурье.
Сходимость ряда Фурье, явление Гиббса. Если функция кусочно-гладкая на отрезке , то ее тригонометрический ряд Фурье сходится в каждой точке этого отрезка. При этом, если — сумма ряда Фурье, то для любого . То есть, если непрерывна в точке , то . Если в точке у разрыв первого рода, то ряд Фурье сходится к среднеарифметическому левого и правого пределов функции в точке . В окрестности точек непрерывности функции разность между значением функции в точке и значением частичной суммы ряда в этой точке стремится к нулю при , что полностью соответствует теории, поскольку в этом случае . В окрестности точек разрыва частичные суммы ряда Фурье ведут себя иначе. Эта особенность поведения частичных сумм Фурье в окрестности точек разрыва называется явлением Гиббса. Оно состоит в том, что для некоторых функций в точке ее скачка существуют такие значения , что
Это не противоречит теории, поскольку у Гиббса рассмотрен предел , а в теории v .
Приближение функций, минимальное свойство коэффициентов Фурье. Функция , где — произвольные числа, называется тригонометрическим многочленом. Тригонометрическим многочленом наилучшего приближения n-ой степени для функции на отрезке называется такой многочлен , среднеквадратичное отклонение которого от функции минимально: . Для любой ограниченной интегрируемой на функции частичная сумма ее ряда Фурье является тригонометрическим многочленом наилучшего приближения n-ой степени.
Зависимость скорости сходимости от гладкости функций. Скорость сходимости ряда Фурье функции зависит от ее гладкости (количества непрерывных производных). Если непрерывно дифференцируема r раз на отрезке , то справедливо неравенство , где . Для среднеквадратичного отклонения справедлива оценка , где .
Наверх
27. Функции многих переменных.
Функция двух переменных. Переменная (с областью изменения ) называется функцией независимых переменных в множестве , если каждой паре их значений из по некоторому правилу или закону ставится в соответствие одно определенное значение из множества .
Множество v область определения функции, множество v область ее значений. Функциональная зависимость от обозначается так: и т.п. Выберем в пространстве систему координат , изобразим на плоскости множество ; в каждой точке этого множества восстановим перпендикуляр к плоскости и отложим на нем значение . Геометрическое место полученных таким образом точек и является пространственным графиком функции двух переменных. Линии и поверхности уровня. Линией уровня функции двух переменных называется геометрическое место точек на плоскости , в которых функция принимает одно и то же значение. Линии уровня функции определяются уравнением , где . Изучая линии уровня функции, можно исследовать характер ее изменения, не прибегая к пространственному графику. Поверхностью уровня функции трех переменных называется геометрическое место точек в пространстве, в которых функция принимает одно и то же значение. Уравнение поверхностей уровня имеет вид: . Поскольку график функции трех переменных нам недоступен, поверхности уровня являются единственным средством изучения таких функций.
Локальные экстремумы. Точка называется точкой локального минимума (максимума) функции , определенной в области , если существует окрестность этой точки, такая, что для всех точек этой окрестности, отличных от . Такие экстремумы (максимумы и минимумы) называются нестрогими. Строгие экстремумы имеют место в случае, когда выполнены строгие неравенства.
Наверх
28. Частные производные, градиент.
Частные производные. Пусть — функция двух переменных, определенная в некоторой окрестности точки . Если существует конечный предел , то говорят, что функция имеет в точке частную производную по переменной . Аналогично определяется частная производная по . Обозначают:
.
Пусть — функция n переменных, определенная в области n-мерного пространства. Частной производной функции по переменной называется предел
.
Из определения частной производной следует правило: при вычислении производной по одной из переменных все остальные переменные считаем постоянными, учитывая, что производная постоянной равна нулю и постоянную можно выносить за знак производной.
Производная по направлению. Если в n-мерном пространстве задан единичный вектор , то изменение дифференцируемой функции в направлении этого вектора характеризуется производной по направлению: . В частности, для функции трех переменных , — направляющие косинусы вектора .
Градиент. Производная по направлению представляет собой скалярное произведение вектора и вектора с координатами , который называется градиентом функции и обозначается . Поскольку , где — угол между и , то вектор указывает направление скорейшего возрастания функции , а его модуль равен производной по этому направлению.
Полный дифференцал. Для приращения дифференцируемой функции справедливо равенство . Линейная по приращениям аргументов часть приращения функции называется полным дифференциалом функции и обозначается .
Производные и дифференциалы высших порядков. Дифференцируя частную производную как функцию нескольких переменных по одной из переменных, получим производные второго порядка.
Например, для функции двух переменных: . Если смешанные производные и непрерывны, то они равны, то есть не зависят от порядка дифференцирования. Аналогично определяются, например, . Если при вычислении полного дифференциала от дифференциала первого порядка учесть, что приращения аргументов есть числа и оставить их неизменными, то получим дифференциал второго порядка. Например, для функции двух переменных: . Здесь учтено равенство смешанных производных второго порядка и принято . При этих допущениях формулу дифференциала любого порядка можно получить из символического выражения: .Наверх
29. Неявные функции.
Неявная функция одной переменной. Пусть в некоторой области плоскости задана функция , и пусть линия уровня этой функции , определяемая уравнением , является графиком некоторой функции , определяемой уравнением . В этом случае говорят, что функция задана неявно уравнением . Для существования неявной функции требуется выполнение следующих условий: функция и ее частная производная по непрерывны в , .
Тогда в некоторой окрестности точки существует единственная непрерывная функция , задаваемая уравнением , так, что в этой окрестности . Неявная функция многих переменных. Аналогично рассматривают функции многих переменных, заданные неявно. Например, при выполнении соответствующих условий, уравнение задает неявно функцию . Это же уравнение может задавать неявно функцию или .
Производная неявной функции. При вычислении производной неявной функции воспользуемся правилом дифференцирования сложной функции. Продифференцируем уравнение : . Отсюда получим формулу для производной функции , заданной неявно: . Таким же способом нетрудно получить формулы для частных производных функции нескольких переменных, заданной неявно, например, уравнением : , .
Наверх
30. Формула Тейлора для многих переменных.
Формулы Тейлора и Маклорена. Если функция имеет в некоторой окрестности точки непрерывные частные производные до (n+1)-го порядка включительно, то для любой точки из этой окрестности справедлива формула Тейлора n-го порядка: , где ,
,
и т.
д. Формула Тейлора, записанная в окрестности точки (0,0) называется формулой Маклорена. Например, для функции двух переменных при n=2: . Аппроксимация функции многочленом. Выражение
называется многочленом Тейлора n-го порядка. Поскольку , то в окрестности точки функцию можно приближенно заменить, или, как говорят, аппроксимировать, ее многочленом Тейлора, т.е. . Чем ближе точка к точке , тем выше точность такой аппроксимации; кроме того, точность возрастает с ростом n. Это означает, что, чем больше непрерывных производных имеет функция , тем точнее представляет ее многочлен Тейлора.
Наверх
31. Исследование на экстремум.
Локальные экстремумы. Точка называется точкой локального минимума (максимума) функции , определенной в области , если существует окрестность этой точки, такая, что для всех точек этой окрестности, отличных от . Такие экстремумы (максимумы и минимумы) называются нестрогими. Строгие экстремумы имеют место в случае, когда выполнены строгие неравенства.
Исследование на экстремум функции двух переменных. Обозначим через приращение функции в точке . Если — точка локального минимума функции , то существует окрестность , в которой (обратное неравенство в случае максимума). Из формулы Тейлора первого порядка следует, что приращение дважды непрерывно дифференцируемой функции может сохранять знак, если главная линейная часть приращения функции в точке экстремума (максимума или минимума) равна нулю, т.е. выполнено необходимое условие экстремума: если точка — точка экстремума, то . Такая точка называется стационарной точкой функции. Приращение функции в стационарной точке имеет вид . Обозначим . Справедливо следующее достаточное условие экстремума. Пусть функция дважды непрерывно дифференцируема в окрестности точки и . Если , то в точке функция достигает экстремума. Если при этом , то этот экстремум v минимум, при — максимум. Если же , то в точке экстремума нет. Геометрически достаточное условие означает, что в окрестности экстремума график функции близок к поверхности .
Если , то для определения знака приращения необходимо изучить члены формулы Тейлора более высокого порядка.Наверх
32. Условный экстремум.
Условные экстремумы. Пусть функция определена в некоторой области и в этой области задана кривая уравнением . Условным экстремумом функции двух переменных называют ее экстремум при условии, что точки берутся на заданной кривой. Если из уравнения кривой можно, например, выразить , то задача о нахождении условного экстремума сводится к исследованию на экстремум функции одной переменной .
Метод множителей Лагранжа. Если уравнение не разрешимо ни относительно , ни относительно , то рассматривают функцию Лагранжа. Необходимым условием существования условного экстремума функции при условии является равенство нулю всех частных производных функции Лагранжа: .
Наибольшее и наименьшее значение функции в области. Поскольку функция , непрерывная в ограниченной замкнутой области достигает в ней своего наибольшего и наименьшего значений, задача об их нахождении разделяется на две части: найти экстремумы функции двух переменных внутри области, найти ее условные экстремумы на границе области, при условии, что граница задана уравнением .

Наверх
33. Двойной и тройной интегралы.
Двойной интеграл в декартовых координатах. Пусть ограниченная замкнутая область плоскости с кусочно-гладкой границей и пусть функция определена и ограничена на . Посредством сетки кусочно-гладких кривых разобьем на конечное число элементарных областей с площадями (разбиение ). Пусть — наибольший из диаметров областей , получающийся при разбиении . В каждой из элементарных областей выберем произвольную точку . Число называется интегральной суммой и ставится в соответствие каждому разбиению и каждому выбору точек . Если существует и он не зависит от выбора разбиения и точек , то функция называется интегрируемой по Риману в области , а сам предел называется двойным интегралом от функции по области и обозначается или . Двойной интеграл существует, если непрерывна на . Допустимы точки разрыва первого рода, лежащие на конечном числе гладких кривых в .
Свойства двойного интеграла. Свойства двойного интеграла аналогичны свойствам определенного интеграла:
Линейность:
.
Аддитивность: , если S1 и S2 две области без общих внутренних точек.
Если для каждой точки выполнено неравенство , то .
Если интегрируема на , то функция также интегрируема, причем .
Если и наименьшее и наибольшее значения функции в области, а ее площадь, то .
Теорема о среднем значении: если непрерывна в связной области , то существует, по крайней мере, одна точка такая, что .
Вычисление двойного интеграла.
Если , где — непрерывные на функции, то двойной интеграл может быть вычислен двумя последовательными интегрированиями: . Аналогично, если , то .
Тройной интеграл и его свойства. Пусть — ограниченная замкнутая пространственная область, границей которой является кусочно-гладкая поверхность, и пусть функция определена и ограничена в . Посредством сетки кусочно-гладких поверхностей разобьем на конечное число элементарных областей с объемами (разбиение). Пусть . наибольший из диаметров областей , получающийся при разбиении .
В каждой из элементарных областей выберем произвольную точку . Число ставится в соответствие каждому разбиению и каждому выбору точек и называется интегральной суммой. Если существует и он не зависит от выбора разбиения и точек, то функция называется интегрируемой по Риману в области , а сам предел называется тройным интегралом от функции по области и обозначается . Свойства тройных интегралов такие же, как и у двойных интегралов. Вычисление тройного интеграла в декартовых координатах. Пусть является цилиндрическим телом, проекция которого на плоскость есть область и которое ограничено снизу поверхностью , а сверху v поверхностью , где — непрерывные функции в . Тогда , то есть интегрированием по z тройной интеграл сводится к двойному интегралу по области . Для областей более сложной формы вычисление двойных и тройных интегралов производится разбиением областей на конечное число простых областей с уже рассмотренными свойствами.
Наверх
34.
Замена переменных в кратных интегралах.Замена переменных в двойном интеграле. Пусть функции взаимно однозначно отображают открытое множество, содержащее область плоскости на открытое множество, содержащее область , и пусть является образом . Если и их частные производные непрерывны, а определитель , то . Выражение называется элементом площади в криволинейных координатах, функциональный определитель — якобианом.
Вычисление площади.
Замена переменных в тройном интеграле. Пусть посредством функций производится взаимно однозначное отображение открытого множества, содержащего область пространства на открытое множество, содержащее область пространства и есть образ . Если эти три функции непрерывны вместе со своими первыми частными производными в области и якобиан, то . Выражение называется элементом объема в криволинейных координатах .
Вычисление объема.
Двойной интеграл в полярных координатах. Введем на плоскости полярные координаты. Пусть — область, полученная взаимно однозначным отображением области плоскости , определяемым функциями .
Тогда , а двойной интеграл в полярных координатах вычисляется по формуле: .Элемент площади в полярных координатах есть .Наверх
35. Сферические и цилиндрические координаты.
Тройной интеграл в цилиндрических координатах. Введем в пространстве цилиндрические координаты. Для этого на плоскости используем полярные координаты, а третья координата произвольной точки остается . Учитывая связь полярных координат с декартовыми, получим выражение декартовых координат через цилиндрические: . Тогда и тройной интеграл в цилиндрических координатах вычисляется по формуле: . Элемент объема в цилиндрической системе координат есть .
Тройной интеграл в сферических координатах. Введем в пространстве сферическую систему координат. Для этого рассмотрим произвольную точку в декартовой системе координат. Спроектируем ее на плоскость , получив точку . Положение точки в пространстве будем характеризовать ее расстоянием от начала координат , углом между отрезком и положительной полуосью , углом между отрезком и положительной полуосью .
Декартовы координаты точки выражаются через сферические по формулам: . В этом случае . Тогда тройной интеграл в сферических координатах вычисляется по формуле: .
Элемент объема в сферической системе координат есть .
Наверх
36. Поверхностный интеграл по площади поверхности.
Площадь гладкой поверхности. Рассмотрим кусок поверхности , заданной уравнением . Пусть выполняется условие , что означает, что в каждой точке поверхности существует нормаль с направляющим вектором . Разобьем поверхность сеткой гладких кривых на элементарные области ( разбиение ). Пусть — наибольший из диаметров элементарных областей. Если независимо от разбиения существует , то он и называется площадью данной поверхности. Пусть однозначно проектируется на плоскость и — эта проекция. Элементу площади области на плоскости соответствует элемент площади поверхности , равный , где — угол между нормалью к поверхности и осью . Поэтому вычисление площади поверхности сводится к вычислению двойного интеграла по проекции поверхности на плоскость.
Если поверхность задана уравнением , то и площадь поверхности вычисляется по формуле , здесь — проекция поверхности на плоскость . Если поверхность однозначно проектируется на другие координатные плоскости, то соответственно изменится формула вычисления площади поверхности. Поверхностный интеграл 1-го рода. Пусть некоторая функция определена и ограничена на гладкой поверхности . Выберем разбиение поверхности и точки на каждой элементарной области и составим интегральную сумму . Если независимо от выбора разбиения и точек существует , то он называется поверхностным интегралом по площади поверхности (1-го рода) от функции и обозначается .
Свойства и вычисление поверхностного интеграла по площади поверхности. Если поверхность задана уравнением и однозначно проектируется на плоскость , то поверхностный интеграл 1-го рода вычисляется по формуле . Нетрудно получить аналогичные формулы, если поверхность однозначно проектируется на другие координатные плоскости.
Поскольку вычисление поверхностного интеграла сводится к двойному интегралу, то, естественно, все свойства поверхностного интеграла 1-го рода такие же, как и у двойного.Наверх
37. Криволинейный интеграл по длине дуги.
Криволинейный интеграл 1-го рода. Пусть — отрезок кусочно-гладкой кривой с началом в точке и концом в точке и — ограниченная функция, определенная в некоторой области, содержащей кривую . Выберем на кривой произвольные точки , разбивая ее на элементарные отрезки (разбиение ), длина каждого . Обозначим . Пусть — произвольная точка на элементарном отрезке . Составим интегральную сумму . Если независимо от разбиения и выбора точек существует , то он называется криволинейным интегралом по длине кривой (1-го рода) и обозначается . Аналогично определяется криволинейный интеграл 1-го рода от функции трех переменных по отрезку пространственной кривой.
Свойства и вычисление криволинейного интеграла по длине дуги. Криволинейный интеграл 1-го рода не зависит от направления движения по кривой , то есть.
Это единственное свойство, которое не совпадает с обычными свойствами интегралов, определеямых через предел интегральной суммы. Если — отрезок кусочно-гладкой кривой, заданной параметрически:, то криволинейный интеграл вычисляется по формуле:
. Если плоская кривая задана в явном виде, то криволинейный интеграл вычисляется по формуле: .
Наверх
38. Скалярное поле.
Скалярное поле. Если каждой точке пространства ставится в соответствие скалярная величина , то возникает скалярное поле (например, поле температуры, поле электрического потенциала). Если введены декартовы координаты, то обозначают также
или . Поле может быть плоским, если , центральным (сферическим), если , цилиндрическим, если .
Поверхности и линии уровня. Свойства скалярных полей можно наглядно изучать с помощью поверхностей уровня. Это поверхности в пространстве, на которых принимает постоянное значение. Их уравнение: . В плоском скалярном поле линиями уровня называют кривые, на которых поле принимает постоянное значение: .
В отдельных случаях линии уровня могут вырождаться в точки, а поверхности уровня в точки и кривые. Производная по направлению и градиент скалярного поля. Пусть — единичный вектор с координатами , — скалярное поле. Производная по направлению характеризует изменение поля в данном направлении и вычисляется по формуле . Производная по направлению представляет собой скалярное произведение вектора и вектора с координатами , который называется градиентом функции и обозначается . Поскольку , где — угол между и , то вектор указывает направление скорейшего возрастания поля , а его модуль равен производной по этому направлению. Так как компоненты градиента являются частными производными, нетрудно получить следующие свойства градиента:
Наверх
39. Векторное поле.
Векторное поле. Если каждой точке пространства ставится в соответствие вектор , то говорят, что задано векторное поле (поле скоростей частиц движущейся жидкости, силовое поле, поле электрической напряженности).
В декартовой системе координат векторное поле можно записать в виде: . Скалярные функции однозначно определяют векторное поле. Векторное поле может быть плоским, если , сферическим, когда , , цилиндрическим, когда , . Векторные линии (линии тока). Для наглядного представления векторных полей используют векторные линии (линии тока). Это кривые, в каждой точке которых вектор является касательным вектором. Через каждую точку проходит одна линия тока. За исключением точек, где поле не определено или , линии тока никогда не пересекаются. В декартовых координатах дифференциальные уравнения линий тока имеют вид:
Наверх
40. Поток векторного поля.
Поток векторного поля. Рассмотрим кусок поверхности , заданной уравнением . Пусть выполняется условие , что означает, что в каждой точке поверхности существует нормаль с направляющим вектором . Выберем одну из сторон поверхности следующим образом: построим на поверхности достаточно малый замкнутый контур, на котором задано направление обхода.
Построим вектор нормали в точке поверхности, лежащей внутри контура. Если из конца вектора нормали обход контура кажется происходящим против часовой стрелки, то будем называть сторону поверхности, обращенную к вектору нормали положительной стороной. Таким образом, будем рассматривать ориентированную двухстороннюю поверхность, а односторонние поверхности лист Мебиуса, бутылку Клейна оставим в покое. Потоком векторного поля через ориентированную поверхность называется поверхностный интеграл по площади поверхности (1-го рода) , где — единичный вектор нормали, направленный в положительную сторону. Выбор положительной стороны обычно диктуется физическими условиями задачи. Непосредственное вычисление потока. Поскольку поток векторного поля определен с помощью поверхностного интеграла, вычисление потока сводится к вычислению такого интеграла от функции , где — компоненты векторного поля, — направляющие косинусы вектора нормали.
Наверх
41. Формула Остроградского.

Поток векторного поля через замкнутую поверхность. Рассмотрим кусочно-гладкую двухстороннюю замкнутую ориентированную поверхность . Поток векторного поля через замкнутую поверхность является важной характеристикой поля и позволяет судить о наличии источников и стоков поля. При непосредственном вычислении потока через замкнутую поверхность приходится разбивать ее на части, однозначно проектируемые на координатные плоскости.
Формула Остроградского. Пусть замкнутая поверхность ограничивает некоторый объем . Тогда в декартовых координатах справедлива формула Остроградского: , где — компоненты векторного поля.
Дивергенция векторного поля. Дивергенцией векторного поля называется . Точка находится внутри замкнутой поверхности , ограничивающей объем , который при вычислении предела стягивается в эту точку. является скалярной величиной и служит мерой источников поля. Если в некоторой области поля , то источников поля в этой области нет. Такое поле называют соленоидальным.
Используя формулу Остроградского, нетрудно получить выражение для вычисления дивергенции в декартовых координатах: . Из свойств частных производных следуют свойства дивергенции векторного поля: Наверх
42. Криволинейный интеграл в векторном поле.
Криволинейный интеграл в векторном поле. Пусть заданы некоторое векторное поле и кривая АВ (А — начальная точка, В — конечная). Криволинейный интеграл в векторном поле есть скаляр, полученный следующим образом:
Разобьем кривую точками А=А0, А1, А2-Аn=В на n частей, приближенно изображаемых векторами (разбиение ).
Обозначим .
На границе или внутри каждой элементарной дуги Аi-1Ai выберем точку, которой соответствует радиус-вектор и составим интегральную сумму .
Если существует и он не зависит от разбиения и выбора точек, то этот предел называется криволинейным интегралом в векторном поле. В декартовой системе координат:, где — компоненты векторного поля.

Если кривая задана в параметрической форме:
, то вычисление криволинейного интеграла сводится к определенному интегралу:
. Используя определение и формулу для вычисления нетрудно получить свойства криволинейного интеграла:
Подчеркнем, что, в отличие от криволинейного интеграла по длине дуги, криволинейный интеграл в векторном поле меняет знак при изменении направления интегрирования.
Если векторное поле, описывающее физическое силовое поле, то криволинейный интеграл выражает работу, которую совершает сила при переносе материальной точки из пункта А в пункт В вдоль кривой АВ.
Циркуляция векторного поля. Важной характеристикой векторного поля является циркуляция векторного поля, которая равна криволинейному интегралу по замкнутой кривой в области поля, или, как говорят, по замкнутому контуру: . Циркуляция векторного поля является скалярной величиной и характеризует вихревые свойства поля. Если в некоторой области поля циркуляция равна нулю, то поле называют безвихревым.

Наверх
43. Формула Стокса.
Формула Стокса. Рассмотрим в пространстве кусок двухсторонней кусочно-гладкой поверхности , край которой образуется кусочно-гладкой кривой . Выберем положительную сторону поверхности (из конца единичного вектора нормали обход границы представляется против часовой стрелки). Для циркуляции векторного поля вдоль контура границы имеет место формула Стокса: , где — компоненты векторного поля, — направляющие косинусы вектора нормали.
Ротор векторного поля. Рассмотрим в пространстве замкнутый контур с выбранным направлением обхода, лежащий в ориентированной плоскости на ее положительной стороне (из конца единичного вектора нормали обход контура представляется против часовой стрелки). Ротором (или вихрем) векторного поля в точке называется вектор, проекция которого на направление вектора нормали есть . Точка лежит на плоскости внутри контура , который стягивается в эту точку при вычислении предела.
Поскольку ротор поля определяется через циркуляцию, то он тоже является мерой завихренности поля. Найдем компоненты ротора в декартовой системе координат, воспользовавшись формулой Стокса. Для этого выберем сначала координатную плоскость y0z с нормальным вектором , затем x0z, , затем x0y, . Применяя каждый раз теорему о среднем для интеграла, получим: Теперь теорема Стокса может быть сформулирована следующим образом: циркуляция векторного поля вдоль контура равна потоку ротора поля через поверхность, натянутую на этот контур. Выражение для ротора поля проще запомнить, если записать его в виде определителя:. Используя свойства частных производных и определителей, получим следующие свойства ротора векторного поля:
Наверх
44. Потенциальное поле.
Потенциальное поле. Если векторное поле , то оно называется потенциальным, а скалярное поле , соответственно, его потенциалом. Самым известным примером такого соответствия является электрическое поле, напряженность которого , где — потенциал электрического поля.
Минус в формуле связан с историческим выбором направления вектора напряженности от плюса к минусу, когда уже умели тереть шерсть об янтарь, но не знали, как это описывать математически. Условие потенциальности поля. Пусть задано скалярное поле , причем данная функция дважды непрерывно дифференцируема. Напомним, что в этом случае смешанные частные производные второго порядка не зависят от порядка дифференцирования. Вычислим .
Нетрудно видеть, что при этих условиях получается тождественный ноль. То есть, если поле потенциальное, то его .
Вычисление потенциала векторного поля. Если мы убедились, что поле является потенциальным, то есть его ротор равен нулю, то представляет интерес вычислить потенциал этого поля. Для этого рассмотрим криволинейный интеграл в данном векторном поле: , где точки А и В — начальная и конечная точки кривой. Поскольку , то скалярное произведение векторов и является полным дифференциалом функции : . Поэтому из свойств криволинейного интеграла следует, что .
Смысл полученной формулы состоит в том, что работа поля по перемещению материальной точки из А в В не зависит от пути интегрирования, а только от конечной и начальной точек, точнее, от разности потенциалов в этих точках. Понятие разности потенциалов хорошо известно из физики. Для вычисления потенциала поля в произвольной точке В выберем начальную точку А, от которой начнем отсчет (в физике часто это — бесконечно удаленная точка). Тогда . Поскольку интеграл не зависит от пути интегрирования, то выберем его так, как нам удобно: сначала параллельно оси 0х, потом параллельно 0у, наконец, параллельно 0z. Обозначая , получим: .
Здесь — компоненты векторного поля . Поскольку выбор начальной точки произволен, потенциал поля определяется с точностью до произвольной постоянной, которая определяется физическими соображениями.
6.5.1. Неявная функция. Дифференцируемость неявной функции. Формула для частных производных функции двух переменных, заданной неявно
gif»> 6.5.1. Неявная функция. Дифференцируемость неявной функции. Формула для частных производных функции двух переменных, заданной неявно Высшая математика > 6.
Дифференциальное исчисление функций нескольких переменных > 6.5. Производные функций нескольких переменных, заданных неявно > 6.5.1. Неявная функция. Дифференцируемость неявной функции. Формула для частных производных функции двух переменных, заданной неявно
Определение. Функция называется заданной неявно в окрестности точки , если задано уравнение и если:
· ;
· единственное : .
В частности, уравнение в окрестностях тех точек , для которых уравнение имеет хотя бы один корень , задает неявную функцию , значения которой равны корням этого уравнения.

При этом уравнение иногда может быть разрешено относительно , а иногда нет. Не следует путать вопрос о существовании неявной функции с вопросом получения ее в виде явной зависимости. Следующая теорема дает условия существования, единственности и дифференцируемости неявной функции.
Теорема 1. Если функция :
· непрерывна в окрестности точки ;
· имеет в этой окрестности непрерывные частные производные по всем переменным;
· ;
· ;
то уравнение задает в окрестности точки однозначную дифференцируемую функцию , для которой справедливо .
Доказательство. В силу сложности и громоздкости доказательства этой теоремы, рассмотрим ее доказательство только для функции двух переменных , заданной неявной зависимостью , где функция непрерывна и дифференцируема в некоторой — окрестности точки и .
Если точка принадлежит этой окрестности, тои ,
тогда и . Для левой части последнего равенства можно использовать теорему Лагранжа.
.
Из последнего равенства следует, что . Переходя в нем к пределу при и учитывая, что частные производные непрерывны, получим
.
Замечание. Мы не только доказали дифференцируемость функции , но и получили формулу для вычисления ее производной.
.
Аналогично доказывается, что функция двух переменных , заданная уравнением , где — дифференцируемая по всем переменным функция, дифференцируема в точках, в которых и ее частные производные вычисляются по формулам
, .
Пример 1. 
Выясните, в каких точках дифференцируема функция , заданная неявно, и вычислите ее производную, если .
Решение. . Поэтому функция дифференцируема во всех точках, за исключением тех, где . Поскольку , то функция дифференцируема везде, где выполняется условие . Так как , то
.
Пример 2. Выясните, в каких точках дифференцируема функция , заданная неявно, и вычислите ее производную, если .
Решение. Так как , то функция дифференцируема во всех точках, за исключением тех, в которых . , следовательно, функция дифференцируема везде, где выполняется условие . Учитывая, что и , можно записать
, .

Производная функции, заданной неявно
- Как найти производную функции, заданной неявно
- Решаем задачи вместе
- Решить задачи самостоятельно, а затем посмотреть решения
- Производная неявной функии онлайн
Будем учиться находить производные функций, заданных неявно.
Что значит неявно?
Сравним с обычной функцией. Обычная функция задана уравнением вида y=f(x),
где игрек, то есть функция, задан некоторым выражением, в котором присутствует икс. Таким образом,
из переменных в левой части — только игрек, в правой — только икс. Если же функция задана неявно, то в
левой части различные слагаемые с игреком «смешаны» с различными слагаемыми с иксом (или переменной,
обозначенной другой буквой). Примеры функций, заданных неявно:,
,
,
,
.
При этом и икс, и игрек могут быть в различных степенях, а в одном слагаемом могут быть и игрек, и икс.
Если функция задана неявно, то как получить игрек, то есть явную функцию? Просто: выразить игрек через другую переменную, то есть получить в левой части только игрек. А если нужно найти производную функции, заданной неявно, то есть получить в левой части только игрек со штрихом? Нужно сначала найти производные обеих частей уравнения, то есть продифференцировать их.
А затем выразить производную
игрека через производные других переменных.Теперь приведенный выше «скелет» решения обрастет «мясом», то есть необходимыми подробностями. Те слагаемые, в которых присутствует только икс, обратятся в обычную производную функции от икса. А слагаемые, в которых присутствуют и икс, и игрек, нужно дифференцировать, пользуясь правилом дифференцирования сложной функции, то есть учитывать, что игрек — это функция от икса. Если совсем просто, то в полученной производной слагаемого с иксом должно получиться: производная функции от игрека, умноженная на производную от игрека. Например, производная слагаемого запишется как , производная слагаемого запишется как . Далее из всего этого нужно выразить этот «игрек штрих» и будет получена искомая производная функции, заданной неявно. Разберём это на примерах.
Пример 1. Найти производную функции, заданной неявно:
.
Решение.
Дифференцируем обе части уравнения по иксу, считая, что игрек — функция от икса:.
Отсюда получаем производную, которая требуется в задании:
.
Решение производной функции, заданной неявно, можно проверить на онлайн калькуляторе.
Пример 2. Найти производную функции, заданной неявно:
.
Решение. Дифференцируем обе части уравнения по иксу:
.
Выражаем игрек штрих и — на выходе — производная функции, заданной неявно:
.
Нет времени вникать в решение? Можно заказать работу!
Пример 3. Найти производную функции, заданной неявно:
.
Решение. Дифференцируем обе части уравнения по иксу:
.
Выражаем и получаем производную:
.

Решение производной функции, заданной неявно, можно проверить на онлайн калькуляторе.
Пример 4. Найти производную функции, заданной неявно:
.
Решение. Дифференцируем обе части уравнения по иксу:
.
Выражаем и получаем производную:
.
Пример 5. Найти производную функции, заданной неявно:
.
Решение. Переносим слагаемые в правой части уравнение в левую часть и справа оставляем ноль. Дифференцируем обе части уравнения по иксу:
Путь к ответу и в конец сам ответ:
Пример 6. Найти производную функции, заданной неявно:
Правильное решение и ответ.
Пример 7.
Найти производную функции, заданной неявно:Правильное решение и ответ.
Пример 8. Найти производную функции, заданной неявно:
Правильное решение и ответ.
Назад Листать Вперёд>>> К началу страницы
Пройти тест по теме Производная, дифференциал и их применение
Поделиться с друзьями
Производные
- Что такое производная
- Найти производную: алгоритм и примеры решений
- Производные произведения и частного функций
- Производная суммы дробей со степенями и корнями
- Производные простых тригонометрических функций
- Производная сложной функции
- Производная логарифмической функции
- Уравнение касательной и уравнение нормали к графику функции
- Дифференциал функции
- Дифференциал сложной функции, инвариантность формы дифференциала
- Правило Лопиталя
Функции несольких переменных
- Функции нескольких переменных
- Частные производные
- Экстремумы функции двух переменных
- Условные экстремумы и функция Лагранжа
Исчисление III — Частные производные
Показать мобильное уведомление Показать все примечания Скрыть все примечания
Мобильное уведомление
Похоже, вы находитесь на устройстве с «узкой» шириной экрана ( т.
е. вы, вероятно, на мобильном телефоне). Из-за характера математики на этом сайте лучше всего просматривать в ландшафтном режиме. Если ваше устройство не находится в ландшафтном режиме, многие уравнения будут отображаться сбоку вашего устройства (должна быть возможность прокрутки, чтобы увидеть их), а некоторые пункты меню будут обрезаны из-за узкой ширины экрана.Раздел 2-2: Частные производные
Теперь, когда у нас есть краткое обсуждение пределов, мы можем перейти к получению производных от функций более чем одной переменной. Прежде чем мы действительно начнем брать производные функций более чем одной переменной, давайте вспомним важную интерпретацию производных функций одной переменной.
Напомним, что для функции одной переменной \(f\left( x \right)\), производная \(f’\left( x \right)\) представляет скорость изменения функции как \(х\) меняется. Это важная интерпретация производных, и мы не собираемся терять ее с функциями более чем одной переменной. Проблема с функциями более чем одной переменной заключается в том, что существует более одной переменной.
Другими словами, что нам делать, если мы хотим, чтобы изменилась только одна из переменных, или если мы хотим изменить более одной из них? На самом деле, если мы позволим измениться более чем одной переменной, у нас будет бесконечное количество способов их изменения.
Например, одна переменная может изменяться быстрее, чем другие переменные в функции. Заметьте также, что вполне возможно, что функция будет изменяться по-разному в зависимости от того, как мы позволяем изменяться одной или нескольким переменным.Нам нужно разработать способы и обозначения для работы со всеми этими случаями. В этом разделе мы сосредоточимся исключительно на изменении только одной из переменных за раз, в то время как остальные переменные остаются фиксированными. Мы рассмотрим возможность изменения нескольких переменных в следующем разделе.
Поскольку мы позволим изменяться только одной из переменных, получение производной теперь станет довольно простым процессом. Давайте начнем это обсуждение с довольно простой функции.
93}\) и определим скорость изменения функции в точке \(\left( {a,b} \right)\), если зафиксировать \(y\) и разрешить \(x\ ) изменяться, и если мы будем считать \(x\) фиксированным и позволять \(y\) изменяться.Начнем со случая, когда \(y\) остается фиксированным, а \(x\) изменяется. Поскольку нас интересует скорость изменения функции в точке \(\left({a,b} \right)\) и мы фиксируем \(y\), это означает, что мы всегда будем иметь \(y = б\) (если бы этого не было, то со временем \(y\) пришлось бы изменить, чтобы добраться до сути…). Это даст нам функцию, включающую только \(x\), и мы можем определить новую функцию следующим образом:3}\]
Теперь это функция одной переменной, и на данный момент все, что мы просим, это определить скорость изменения \(g\left( x \right)\) при \(x = a\). Другими словами, мы хотим вычислить \(g’\left( a \right)\), и поскольку это функция одной переменной, мы уже знаем, как это сделать. Вот скорость изменения функции в точке \(\left({a,b} \right)\), если мы удерживаем \(y\) фиксированным и позволяем \(x\) изменяться.
3}\]
92}\]Обратите внимание, что эти две частные производные иногда называют частными производными первого порядка . Как и в случае с функциями одной переменной, мы можем иметь производные всех порядков. Мы рассмотрим производные более высокого порядка в следующем разделе.
Обратите внимание, что обозначения частных производных отличаются от обозначений производных функций одной переменной. С функциями одной переменной мы могли бы обозначать производную одним штрихом. Однако с частными производными нам всегда нужно помнить переменную, по которой мы дифференцируем, и поэтому мы будем индексировать переменную, по которой мы дифференцируем. Вскоре мы увидим некоторые альтернативные обозначения для частных производных. 92}\]
Теперь, как показал этот быстрый пример, получение производных от функций более чем одной переменной выполняется почти так же, как получение производных от одной переменной. Чтобы вычислить \({f_x}\left( {x,y} \right)\), все, что нам нужно сделать, это рассматривать все \(y\) как константы (или числа), а затем дифференцировать \(x\ ) как мы всегда делали.
Точно так же, чтобы вычислить \({f_y}\left( {x,y} \right)\), мы будем рассматривать все \(x\) как константы, а затем дифференцировать \(y\), как мы привык делать.Прежде чем приступить к работе с любыми примерами, давайте отвлечемся от формального определения частной производной, а также от некоторых альтернативных обозначений.
Поскольку мы можем думать о двух приведенных выше частных производных как о производных функций с одной переменной, неудивительно, что определение каждой из них очень похоже на определение производной для функций с одной переменной. Вот формальные определения двух частных производных, которые мы рассмотрели выше.
\[{f_x}\left( {x,y} \right) = \mathop {\lim }\limits_{h \to 0} \frac{{f\left({x + h,y} \right) — f\left( {x,y} \right)}}{h}\hspace{0,5in}{f_y}\left( {x,y} \right) = \mathop {\lim }\limits_{h \to 0} \frac{{f\left( {x,y + h} \right) — f\left( {x,y} \right)}}{h}\]
Если вы помните определение предела в Исчислении I, они должны показаться вам знакомыми, поскольку они очень близки к определению в Исчислении I с (возможно) очевидным изменением.

Теперь давайте кратко рассмотрим некоторые из возможных альтернативных обозначений частных производных. Учитывая функцию \(z = f\left( {x,y} \right)\), следующие все эквивалентные обозначения:
\[\begin{align*}{f_x}\left( {x,y} \right) & = {f_x} = \frac{{\partial f}}{{\partial x}} = \frac{\partial }{{\partial x}}\left( {f\left( {x,y} \right)} \right) = {z_x} = \frac{{\partial z}}{{\partial x}} = {D_x}f\\ {f_y}\left( {x,y} \right) & = {f_y} = \frac{{\partial f}}{{\partial y}} = \frac{\partial}{ {\ partial y}} \ left ( {f \ left ( {x, y} \ right)} \ right) = {z_y} = \ frac {{\ partial z}} {{\ partial y}} = {D_y }f\конец{выравнивание*}\]
При записи дроби для частной производной обратите внимание на разницу между частной производной и обыкновенной производной из исчисления с одной переменной.
\[\begin{align*} & f\left( x \right)\hspace{0.25in} & \Rightarrow & \hspace{0.
25in}& f’\left( x \right) & = \frac{{df }}{{dx}}\\ & f\left( {x,y} \right)\hspace{0.25in} & \Rightarrow & \hspace{0.25in} & {f_x}\left( {x,y} \right) & = \frac{{\partial f}}{{\partial x}}\,\,\,\& \,\,\,{f_y}\left( {x,y} \right) = \frac{{\partial f}}{{\partial y}}\end{align*}\]Хорошо, теперь давайте поработаем над некоторыми примерами. При работе с этими примерами всегда помните, что нам нужно уделять очень пристальное внимание тому, по какой переменной мы дифференцируем. Это важно, потому что мы будем рассматривать все остальные переменные как константы, а затем будем работать с производной, как если бы она была функцией одной переменной. Если вы помните это, то обнаружите, что вычисление частных производных ненамного сложнее, чем вычисление производных функций одной переменной, как мы это делали в Исчислении I. 93}\]
Обратите внимание, что в этом случае второй и третий члены дифференцируются до нуля. Должно быть ясно, почему третий член продифференцирован до нуля.
Это константа, а мы знаем, что константы всегда дифференцируются до нуля. Это также является причиной того, что второй член продифференцирован до нуля. Помните, что, поскольку здесь мы дифференцируем по \(x\), мы будем рассматривать все \(y\) как константы. Это означает, что термины, включающие только \(y\), будут рассматриваться как константы и, следовательно, будут дифференцироваться до нуля. 93} + 43x — 7\tan \left( {4y} \right)\) Показать решениеС помощью этой функции нам нужно вычислить три производные первого порядка. Сначала найдем частную производную по \(x\). Поскольку мы дифференцируем по \(x\), мы будем рассматривать все \(y\) и все \(z\) как константы. Это означает, что второй и четвертый члены будут дифференцированы до нуля, поскольку они включают только \(y\) и \(z\).
Этот первый член содержит как \(x\), так и \(y\), поэтому, когда мы дифференцируем по \(x\), \(y\) будем рассматривать как мультипликативную константу и таким образом, первый член будет дифференцирован так же, как будет дифференцирован третий термин.

Здесь частная производная по \(x\).
\[\frac{{\partial w}}{{\partial x}} = 2xy + 43\]
Теперь продифференцируем по \(y\). В этом случае все \(x\) и \(z\) будут рассматриваться как константы. Это означает, что третий член будет дифференцироваться до нуля, поскольку он содержит только \(x\), тогда как \(x\) в первом члене и \(z\) во втором члене будут рассматриваться как мультипликативные константы. Вот производная по \(y\). 93}}}\) Показать решение
Теперь мы не можем забыть правило произведения с производными. Здесь правило произведения будет работать так же, как и с функциями одной переменной. Нам просто нужно быть осторожными, чтобы помнить, по какой переменной мы дифференцируем.
Начнем с дифференцирования по \(x\). В этом случае и косинус, и экспонента содержат \(x\), поэтому у нас действительно есть произведение двух функций, включающих \(x\), и поэтому нам нужно умножить это произведение.
{е \ влево ( х \ вправо)}} \]
92}}}\) Показать решениеТеперь нам нужно быть осторожными, чтобы не использовать правило частного, когда в нем нет необходимости. Однако в этом случае у нас есть частное, поскольку \(x\) и \(y\) появляются только в числителе, а \(z\) появляются только в знаменателе, это действительно не так. проблема с частным правилом.
Сначала выполним производные по \(x\) и \(y\). В обоих этих случаях \(z\) являются константами, поэтому знаменатель здесь является константой, и поэтому нам не нужно слишком беспокоиться об этом. Вот производные для этих двух случаев. 9{ — \frac{1}{2}}}\end{align*}\]
Итак, есть несколько примеров частных производных. Надеюсь, вы согласитесь, что до тех пор, пока мы помним, что другие переменные следует рассматривать как константы, они работают точно так же, как и производные функций одной переменной. Итак, если вы умеете вычислять производные в исчислении I, у вас не должно возникнуть особых трудностей при вычислении основных частных производных.
6} = 5\]
93}}}\]Теперь мы решили эту задачу, потому что неявное дифференцирование работает точно так же с функциями многих переменных. Если у нас есть функция в терминах трех переменных \(x\), \(y\) и \(z\), мы будем считать, что \(z\) на самом деле является функцией \(x\) и \ (у\). Другими словами, \(z = z\left({x,y} \right)\). Затем всякий раз, когда мы дифференцируем \(z\) по \(x\), мы будем использовать цепное правило и добавлять \(\frac{{\partial z}}{{\partial x}}\). Точно так же всякий раз, когда мы дифференцируем \(z\) по \(y\), мы добавляем \(\frac{{\partial z}}{{\partial y}}\). 92}\cos\left( {2y — 5z} \right)\left( { — 5\frac{{\partial z}}{{\partial x}}} \right) = — y\sin \left( { 6zx} \right)\left( {6z + 6x\frac{{\partial z}}{{\partial x}}} \right)\]
Не забудьте использовать цепное правило для каждой триггерной функции, и когда мы дифференцируем внутреннюю функцию по косинусу, нам также нужно будет использовать правило произведения.
2} \cos\left( {2y — 5z} \right) — 6yx\sin \left( {6zx} \right)}}\end{align*}\]
92}\cos\left( {2y — 5z} \right)}}\end{align*}\]Над ними нужно поработать. В следующем разделе мы увидим более простой способ неявного дифференцирования.
Формулы неявного дифференцирования — Mathonline
Fold
Содержание
Формулы неявного дифференцирования
Формула неявного дифференцирования для функций с одной переменной
Пример 1
Формула неявного дифференцирования для функций с двумя переменными
Пример 2
Теперь мы рассмотрим некоторые формулы для нахождения частных производных неявных функций. Эти формулы возникают как часть более сложной теоремы, известной как теорема о неявной функции, которую мы рассмотрим позже.
Формула неявного дифференцирования для функций с одной переменной
Теорема 1, приведенная ниже, предоставит нам метод вычисления многих производных функций с одним переменным с действительным знаком без применения стандартных методов неявного дифференцирования.
92 года $. Согласно теореме 1 $\frac{dy}{dx}$ можно найти, если вычислить частную производную от $F$ по $x$, разделить ее на частную производную от $F$ по $y $ (при условии, что он не равен нулю), а затем инвертируем наш результат.Посмотрим на доказательство.
- Доказательство: Рассмотрим функцию одной переменной, которую можно неявно записать в виде $F(x, y) = 0$ для всех $x \in D(f)$, и предположим, что $F $}] дифференцируема. Мы хотим найти [[$ \frac{dy}{dx}$. Мы продифференцируем обе части уравнения $F(x, y) = 0$, используя Цепное правило типа 1 для функций нескольких переменных. При условии, что $\frac{\partial F}{\partial y} \neq 0$, имеем: 9y]} \end{align}
Предлагается, чтобы читатель также попытался получить тот же ответ без частных производных. Процесс будет намного утомительнее.
Формула неявного дифференцирования для функций двух переменных
Теорема 2: Предположим, что $z = f(x, y)$ можно неявно переписать в виде $F(x, y, z) = 0$ для всех $(x, y) \in D(f)$, и предположим, что $F$ дифференцируема.
Тогда $\frac{\partial z}{\partial x} = -\frac{F_x (x, y, z)}{F_z (x, y, z)}$ и $\frac{\partial z}{\ частичное y} = -\frac{F_y (x, y, z)}{F_z (x, y, z)}$ при условии, что ни один из знаменателей не равен нулю.- Доказательство: Мы покажем, что $\frac{\partial z}{\partial x} = -\frac{F_x (x, y, z)}{F_z (x, y, z)}$ . Другую формулу остается вывести читателю.
- Пусть $z = f(x, y)$ — функция, которую можно записать в виде $F(x, y, z) = 0$ для всех $(x, y) \in D(f)$, и предположим, что $F$ дифференцируема. Применяя цепное правило к обеим частям уравнения $F(x, y, z) = 0$, получаем, что:
(5)
\begin{align} \quad \frac{\partial F}{\partial x} \frac{\partial x}{\partial x} + \frac{\partial F}{\partial y} \frac{\ частичное у} {\ парциальное х} + \ гидроразрыва {\ парциальное F} {\ парциальное г} \ гидроразрыва {\ парциальное г} {\ парциальное х} = 0 \ конец {выравнивание}
- Заметим, что $\frac{\partial x}{\partial x} = \frac{\partial}{\partial x} (x) = 1$ и $\frac{\partial y}{\partial x } = \frac{\partial}{\partial x} (y) = 0$, и так:
(6)
\begin{align} \quad \frac{\partial F}{\partial x} + \frac{\partial F}{\partial z} \frac{\partial z}{\partial x} = 0 \\ \ quad \ frac {dz} {dx} = — \ frac {\ frac {\ partial F} {\ partial x}} {\ frac {\ partial F} {\ partial z}} = — \ frac {F_x (x , y, z)}{F_z(x, y, z)} \quad \blacksquare \end{align} 9y$ нам нужно знать, что функция $y$ имеет a производная.
y}\cr
}$$
$\квадрат$
9y=x$ для $y$, поэтому, возможно, после взятия производной мы получим
то, что трудно решить за $y’$. На самом деле это никогда
бывает. Все вхождения $y’$ происходят из-за применения цепного правила,
и всякий раз, когда используется цепное правило, он вносит один $y’$
умножить на какое-то другое выражение. Так что всегда можно будет
сгруппируйте термины, содержащие $y’$ вместе, и вынесите $y’$ на множители, просто
как в предыдущем примере. Если у вас когда-нибудь возникнет что-то более сложное
вы допустили ошибку и должны исправить ее, прежде чем пытаться продолжить.Иногда бывает так, что ситуация естественным образом приводит к уравнение, которое неявно определяет функцию.
Пример 4.8.3 Рассмотрим все точки $(x,y)$, обладающие тем свойством, что расстояние от $(x,y)$ до $\ds (x_1,y_1)$ плюс расстояние от $(x,y)$ до $\ds (x_2,y_2)$ равно $2a$ ($a$ — некоторая константа). Эти точки образуют эллипс, который, как и окружность, не является функцией, но может рассматривается как две функции, склеенные вместе.
2}=2a.$$
Затем мы можем использовать неявное дифференцирование, чтобы найти наклон кривой.
эллипс в любой точке, хотя вычисления довольно беспорядочны.
$\квадрат$
92$
(отвечать)Пример 4.8.4 $\ds 4\cos x \sin y = 1$ (отвечать)
Пример 4.8.5 $\ds\sqrt{x} + \sqrt{y} = 9$ (отвечать)
Пример 4.8.6 $\ds \tan(x/y) = x+ y$ (отвечать)
Пример 4.8.7 $\ds\sin(x+y)=xy$ (отвечать)
Пример 4.8.8 $\ds{1\над х} + {1\над у} = 7$ (отвечать)
Пример 4.8.9 Гипербола, проходящая через $(8,6)$, состоит из всех точек, расстояние до которых от начала координат постоянная больше, чем его расстояние от точки (5,2). Найдите наклон касательной к гиперболе в точке $(8,6)$. (отвечать) 92 = 9$ — эллипс. Найдите прямые, касающиеся этой кривой в двух точках. точки пересечения с осью $x$. Покажите, что эти линии параллельно. (отвечать)
Пример 4.8.13 Повторите предыдущую задачу для точек, в которых эллипс пересекает ось $y$.
2 =0$ и $yx=0$
ортогональны друг другу?Пример 4.8.21 Предположим, что $m\neq 0$. Покажите, что семейство кривых $\ds \{y=mx+b \mid b\in \R \}$ ортогонален семейство кривых $\ds \{y=-(x/m)+c \mid c \in \R\}$.
4.5 Цепное правило — исчисление, том 3
Цели обучения
- 4.5.1 Укажите цепные правила для одной или двух независимых переменных.
- 4.5.2 Используйте древовидные диаграммы, чтобы понять цепное правило для нескольких независимых и промежуточных переменных.
- 4.5.3 Выполните неявное дифференцирование функции двух или более переменных.
В исчислении с одной переменной мы обнаружили, что одним из самых полезных правил дифференцирования является цепное правило, которое позволяет нам найти производную композиции двух функций. То же самое верно и для многомерного исчисления, но на этот раз нам придется иметь дело с более чем одной формой цепного правила. В этом разделе мы изучаем расширения цепного правила и учимся брать производные от композиций функций более чем одной переменной.

Цепные правила для одной или двух независимых переменных
Напомним, что цепное правило для производной композиции двух функций можно записать в виде
ddx(f(g(x))=f′(g(x))g′(x).ddx(f(g(x))=f′(g(x))g′(x) .
В этом уравнении как f(x)f(x), так и g(x)g(x) являются функциями одной переменной. Теперь предположим, что ff — функция двух переменных, а gg — функция одной переменной. Или, возможно, они оба являются функциями двух переменных или даже большего числа. Как бы мы вычислили производную в этих случаях? Следующая теорема дает нам ответ для случая одной независимой переменной.
Теорема 4,8
Цепное правило для одной независимой переменной
Предположим, что x=g(t)x=g(t) и y=h(t)y=h(t) являются дифференцируемыми функциями от tt и z=f(x,y)z=f(x,y) ) является дифференцируемой функцией от xandy.xandy. Тогда z=f(x(t),y(t))z=f(x(t),y(t)) является дифференцируемой функцией tt и
dzdt=∂z∂x·dxdt+∂z∂y ·dydt,dzdt=∂z∂x·dxdt+∂z∂y·dydt,
(4.
29), где обыкновенные производные оцениваются при tt, а частные производные оцениваются при (x,y).(x,y ).
Доказательство
В доказательстве этой теоремы используется определение дифференцируемости функции двух переменных. Предположим, что f дифференцируемо в точке P(x0,y0),P(x0,y0), где x0=g(t0)x0=g(t0) и y0=h(t0)y0=h(t0) для фиксированного значения t0.t0. Мы хотим доказать, что z=f(x(t),y(t))z=f(x(t),y(t)) дифференцируемо при t=t0t=t0 и что уравнение 4.29 выполняется в этой точке как Что ж.
Поскольку ff дифференцируема в точках P, P, мы знаем, что
z(t)=f(x,y)=f(x0,y0)+fx(x0,y0)(x−x0)+fy(x0,y0)(y−y0)+E(x,y) ,z(t)=f(x,y)=f(x0,y0)+fx(x0,y0)(x−x0)+fy(x0,y0)(y−y0)+E(x,y) ,
(4.30)
, где lim(x,y)→(x0,y0)E(x,y)(x−x0)2+(y−y0)2=0.lim(x,y)→(x0,y0)E( х,у)(х-х0)2+(у-у0)2=0. Затем мы вычитаем z0=f(x0,y0)z0=f(x0,y0) из обеих частей этого уравнения:
z(t)−z(t0)=f(x(t),y(t))−f(x(t0),y(t0))=fx(x0,y0)(x(t)−x (t0))+fy(x0,y0)(y(t)−y(t0))+E(x(t),y(t)).
z(t)−z(t0)=f(x( t),y(t))−f(x(t0),y(t0))=fx(x0,y0)(x(t)−x(t0))+fy(x0,y0)(y(t )−y(t0))+E(x(t),y(t)).Далее делим обе части на t−t0:t−t0:
z(t)−z(t0)t−t0=fx(x0,y0)(x(t)−x(t0)t−t0)+fy(x0,y0)(y(t)−y(t0 )t−t0)+E(x(t),y(t))t−t0.z(t)−z(t0)t−t0=fx(x0,y0)(x(t)−x(t0 )t−t0)+fy(x0,y0)(y(t)−y(t0)t−t0)+E(x(t),y(t))t−t0.
Затем мы берем предел, когда tt приближается к t0:t0:
limt→t0z(t)−z(t0)t−t0=fx(x0,y0)limt→t0(x(t)−x(t0)t−t0)+fy(x0,y0)limt→t0( y(t)−y(t0)t−t0)+limt→t0E(x(t),y(t))t−t0.limt→t0z(t)−z(t0)t−t0=fx(x0 ,y0)limt→t0(x(t)−x(t0)t−t0)+fy(x0,y0)limt→t0(y(t)−y(t0)t−t0)+limt→t0E(x (t),y(t))t−t0.
Левая часть этого уравнения равна dz/dt,dz/dt, что приводит к
dzdt=fx(x0,y0)dxdt+fy(x0,y0)dydt+limt→t0E(x(t),y(t))t−t0.dzdt=fx(x0,y0)dxdt+fy(x0 ,y0)dydt+limt→t0E(x(t),y(t))t−t0.
Последний член можно переписать как
limt→t0E(x(t),y(t))t−t0=limt→t0(E(x,y)(x−x0)2+(y−y0)2(x−x0)2+( y−y0)2t−t0)=limt→t0(E(x,y)(x−x0)2+(y−y0)2)limt→t0((x−x0)2+(y−y0)2t −t0).
limt→t0E(x(t),y(t))t−t0=limt→t0(E(x,y)(x−x0)2+(y−y0)2(x−x0) 2+(y−y0)2t−t0)=limt→t0(E(x,y)(x−x0)2+(y−y0)2)limt→t0((x−x0)2+(y− у0)2t−t0).Когда tt приближается к t0,t0,(x(t),y(t))(x(t),y(t)) приближается к (x(t0),y(t0)),(x(t0),y (t0)), поэтому мы можем переписать последний продукт как
lim(x,y)→(x0,y0)(E(x,y)(x−x0)2+(y−y0)2)=lim(x,y)→(x0,y0)((x −x0)2+(y−y0)2t−t0).lim(x,y)→(x0,y0)(E(x,y)(x−x0)2+(y−y0)2)=lim (x,y)→(x0,y0)((x−x0)2+(y−y0)2t−t0).
Так как первый предел равен нулю, нам нужно только показать, что второй предел конечен:
lim(x,y)→(x0,y0)((x−x0)2+(y−y0)2t−t0)=lim(x,y)→(x0,y0)((x−x0)2 +(y−y0)2(t−t0)2)=lim(x,y)→(x0,y0)((x−x0t−t0)2+(y−y0t−t0)2)=(lim( x,y)→(x0,y0)(x−x0t−t0))2+(lim(x,y)→(x0,y0)(y−y0t−t0))2.lim(x,y)→ (x0,y0)((x−x0)2+(y−y0)2t−t0)=lim(x,y)→(x0,y0)((x−x0)2+(y−y0)2( t−t0)2)=lim(x,y)→(x0,y0)((x−x0t−t0)2+(y−y0t−t0)2)=(lim(x,y)→(x0, y0)(x−x0t−t0))2+(lim(x,y)→(x0,y0)(y−y0t−t0))2.
Поскольку x(t)x(t) и y(t)y(t) являются дифференцируемыми функциями от t,t, оба предела внутри последнего радикала существуют.
Следовательно, это значение конечно. Это доказывает цепное правило при t=t0;t=t0; остальная часть теоремы следует из предположения, что все функции дифференцируемы во всей своей области определения.□
При ближайшем рассмотрении уравнения 4.29 обнаруживается интересная закономерность. Первый член уравнения равен ∂f∂x·dxdt∂f∂x·dxdt, а второй член равен ∂f∂y·dydt.∂f∂y·dydt. Напомним, что при умножении дробей может использоваться сокращение. Если рассматривать эти производные как дроби, то каждое произведение «упрощается» до чего-то, напоминающего ∂f/dt.∂f/dt. Переменные xandyxandy, которые исчезают при этом упрощении, часто называют промежуточными переменными: они являются независимыми переменными для функции f,f, но являются зависимыми переменными для переменной t.t. В правой части формулы появляются два члена, а ff является функцией двух переменных. Этот шаблон также работает с функциями более чем двух переменных, как мы увидим далее в этом разделе.
Пример 4,26
Использование цепного правила
Рассчитать dz/dtdz/dt для каждой из следующих функций:
- z=f(x,y)=4×2+3y2,x=x(t)=sint,y=y( t)=costz=f(x,y)=4×2+3y2,x=x(t)=sint,y=y(t)=стоимость
- z=f(x,y)=x2−y2,x=x(t)=e2t,y=y(t)=e−tz=f(x,y)=x2−y2,x=x(t )=e2t,y=y(t)=e−t
Решение
- Чтобы использовать цепное правило, нам нужны четыре величины — ∂z/∂x, ∂z/∂y, dx/dt, ∂z/∂x, ∂z/∂y, dx/dt и dy/dt: dy/dt:
∂z∂x=8x∂z∂y=6ydxdt=costdydt=−sint∂z∂x=8x∂z∂y=6ydxdt=costdydt=−sint
Теперь подставим каждое из них в уравнение 4.
29: ∂z∂x·dxdt+∂z∂y·dydt=(8x)(стоимость)+(6y)(-sint)=8xcost-6ysint.
Этот ответ содержит три переменные. Чтобы свести его к одной переменной, используйте тот факт, что x(t)=sintandy(t)=cost.x(t)=sintandy(t)=cost. Получаемdzdt=8xcost−6ysint=8(sint)cost−6(cost)sint=2sintcost.dzdt=8xcost−6ysint=8(sint)cost−6(cost)sint=2sintcost.
Эту производную также можно вычислить, сначала подставив x(t)x(t) и y(t)y(t) в f(x,y),f(x,y), а затем продифференцировав по t: т:z=f(x,y)=f(x(t),y(t))=4(x(t))2+3(y(t))2=4sin2t+3cos2t.z=f(x ,y)=f(x(t),y(t))=4(x(t))2+3(y(t))2=4sin2t+3cos2t.
Тогдаdzdt=2(4sint)(стоимость)+2(3cost)(−sint)=8sintcost−6sintcost=2sintcost,dzdt=2(4sint)(cost)+2(3cost)(−sint)=8sintcost− 6sintcost=2sintcost,
, что является тем же решением. Однако не всегда может быть так легко отличить эту форму. - Чтобы использовать цепное правило, нам снова нужны четыре величины: ∂z/∂x, ∂z/dy, dx/dt, ∂z/∂x, ∂z/dy, dx/dt и dy/dt:dy/. дт:
∂z∂x=xx2−y2∂z∂y=−yx2−y2dxdt=2e2tdxdt=−e−t.
∂z∂x=xx2−y2∂z∂y=−yx2−y2dxdt=2e2tdxdt=−e−t .
Подставляем каждое из них в уравнение 4.29: −ye−tx2−y2.dzdt=∂z∂x·dxdt+∂z∂y·dydt=(xx2−y2)(2e2t)+(−yx2−y2)(−e−t)=2xe2t−ye−tx2− у2.
Чтобы свести это к одной переменной, мы используем тот факт, что x(t)=e2tx(t)=e2t и y(t)=e−t.y(t)=e−t. Следовательно,dzdt=2xe2t+ye-tx2-y2=2(e2t)e2t+(e-t)e-te4t-e-2t=2e4t+e-2te4t-e-2t.dzdt=2xe2t+ye-tx2-y2 =2(e2t)e2t+(e−t)e−te4t−e−2t=2e4t+e−2te4t−e−2t.
Чтобы исключить отрицательные показатели, мы умножаем верхнюю часть на e2te2t и нижнюю часть на e4t:e4t:dzdt=2e4t+e−2te4t−e−2t·e2te4t=2e6t+1e8t−e2t=2e6t+1e2t(e6t−1) =2e6t+1ete6t−1.dzdt=2e4t+e−2te4t−e−2t·e2te4t=2e6t+1e8t−e2t=2e6t+1e2t(e6t−1)=2e6t+1ete6t−1.
Опять же, эту производную также можно вычислить, сначала подставив x(t)x(t) и y(t)y(t) в f(x,y),f(x,y), а затем продифференцировав по t:t:z=f(x,y)=f(x(t),y(t))=(x(t))2−(y(t))2=e4t−e−2t=( e4t−e−2t)1/2.z=f(x,y)=f(x(t),y(t))=(x(t))2−(y(t))2=e4t− e−2t=(e4t−e−2t)1/2.

Тогдаdzdt=12(e4t-e-2t)-1/2(4e4t+2e-2t)=2e4t+e-2te4t-e-2t.dzdt=12(e4t-e-2t)-1/2 (4e4t+2e−2t)=2e4t+e−2te4t−e−2t.
Это то же решение.
Контрольно-пропускной пункт 4.23
Вычислите dz/dtdz/dt с учетом следующих функций. Выразите окончательный ответ через t.t.
z=f(x,y)=x2−3xy+2y2,x=x(t)=3sin2t,y=y(t)=4cos2tz=f(x,y)=x2−3xy+2y2,x= х(т)=3sin2t,у=у(т)=4cos2t
Часто бывает полезно создать визуальное представление уравнения 4.29.для цепного правила. Это называется древовидной диаграммой цепного правила для функций одной переменной и позволяет запомнить формулу (рис. 4.34). Эта диаграмма может быть расширена для функций более чем одной переменной, как мы вскоре увидим.
Рисунок 4,34 Древовидная диаграмма для случая dzdt=∂z∂x·dxdt+∂z∂y·dydt.dzdt=∂z∂x·dxdt+∂z∂y·dydt.
На этой диаграмме крайний левый угол соответствует z=f(x,y).z=f(x,y). Поскольку ff имеет две независимые переменные, из этого угла выходят две прямые.
Верхняя ветвь соответствует переменной xx, а нижняя ветвь соответствует переменной y.y. Поскольку тогда каждая из этих переменных зависит от одной переменной t,t, тогда одна ветвь идет от xx, а одна ветвь идет от y.y. Наконец, каждая из ветвей в крайнем правом углу имеет метку, которая представляет собой путь, пройденный для достижения этой ветви. Верхняя ветвь достигается путем следования по ветке xx, затем по ветке tt; поэтому он помечен (∂z/∂x)×(dx/dt).(∂z/∂x)×(dx/dt). Нижняя ветвь аналогична: сначала ветвь yy, затем ветвь tt. Эта ветвь обозначена (∂z/∂y)×(dy/dt).(∂z/∂y)×(dy/dt). Чтобы получить формулу для dz/dt, dz/dt, добавьте все члены, которые появляются в правой части диаграммы. Это дает нам уравнение 4.29..В цепном правиле для двух независимых переменных z=f(x,y)z=f(x,y) является функцией xandy,xandy, и оба x=g(u,v)x=g(u,v ) и y=h(u,v)y=h(u,v) являются функциями независимых переменных uandv.uandv.
Теорема 4.9
Цепное правило для двух независимых переменных
Предположим, что x=g(u,v)x=g(u,v) и y=h(u,v)y=h(u,v) являются дифференцируемыми функциями uu и v,v, и z=f (x,y)z=f(x,y) — дифференцируемая функция от xandy.
xandy. Тогда z=f(g(u,v),h(u,v))z=f(g(u,v),h(u,v)) является дифференцируемой функцией от uandv,uandv, и∂z∂u=∂z∂x∂x∂u+∂z∂y∂y∂u∂z∂u=∂z∂x∂x∂u+∂z∂y∂y∂u
(4.31)
и
∂z∂v=∂z∂x∂x∂v+∂z∂y∂y∂v.∂z∂v=∂z∂x∂x∂v+∂z∂y∂y∂v.
(4.32)
Мы можем нарисовать древовидную диаграмму для каждой из этих формул, а также для следующих.
Рисунок 4,35 Древовидная диаграмма для ∂z∂u=∂z∂x·∂x∂u+∂z∂y·∂y∂u∂z∂u=∂z∂x·∂x∂u+∂z∂y·∂y∂u и ∂z∂v=∂z∂x·∂x∂v+∂z∂y·∂y∂v.∂z∂v=∂z∂x·∂x∂v+∂z∂y·∂y∂v.
Чтобы вывести формулу для ∂z/∂u,∂z/∂u, начните с левой стороны диаграммы, затем следуйте только ветвям, которые заканчиваются на uu, и добавляйте члены, которые появляются в конце этих ветвей. Для формулы для ∂z/∂v,∂z/∂v следуйте только ветвям, которые заканчиваются на vv, и добавляйте члены, которые появляются в конце этих ветвей.
Между этими двумя теоремами о цепных правилах есть важное различие.
В цепном правиле для одной независимой переменной левая часть формулы для производной не является частной производной, но в цепном правиле для двух независимых переменных это так. Причина в том, что в цепном правиле для одной независимой переменной zz является функцией только от tt, тогда как в цепном правиле для двух независимых переменных zz является функцией как u, так и v.u и v.Пример 4,27
Использование цепного правила для двух переменных
Вычисление ∂z/∂u∂z/∂u и ∂z/∂v∂z/∂v с использованием следующих функций:
z=f(x,y)=3×2 −2xy+y2,x=x(u,v)=3u+2v,y=y(u,v)=4u−v.z=f(x,y)=3×2−2xy+y2,x=x(u, v)=3u+2v,y=y(u,v)=4u−v.
Решение
Чтобы реализовать цепное правило для двух переменных, нам нужны шесть частных производных — ∂z/∂x, ∂z/∂y, ∂x/∂u, ∂x/∂v, ∂y/∂u, ∂z/∂ х,∂z/∂y,∂x/∂u,∂x/∂v,∂y/∂u и ∂y/∂v:∂y/∂v:
∂z∂x=6x−2y∂ z∂y=−2x+2y∂x∂u=3∂x∂v=2∂y∂u=4∂y∂v=−1,∂z∂x=6x−2y∂z∂y=−2x+ 2y∂x∂u=3∂x∂v=2∂y∂u=4∂y∂v=−1.

Чтобы найти ∂z/∂u,∂z/∂u, воспользуемся уравнением 4.31: )+4(−2x+2y)=10x+2y.∂z∂u=∂z∂x∂x∂u+∂z∂y∂y∂u=3(6x−2y)+4(−2x+2y) =10х+2у.
Далее подставляем x(u,v)=3u+2vx(u,v)=3u+2v и y(u,v)=4u−v:y(u,v)=4u−v:
∂z∂u=10x+2y=10(3u+2v)+2(4u−v)=38u+18v.∂z∂u=10x+2y=10(3u+2v)+2(4u−v)= 38у+18в.
Чтобы найти ∂z/∂v,∂z/∂v, воспользуемся уравнением 4.32: )+(−1)(−2x+2y)=14x−6y.∂z∂v=∂z∂x∂x∂v+∂z∂y∂y∂v=2(6x−2y)+(−1) (−2x+2y)=14x−6y.
Затем подставляем x(u,v)=3u+2vx(u,v)=3u+2v и y(u,v)=4u−v:y(u,v)=4u−v:
∂ z∂v=14x−6y=14(3u+2v)−6(4u−v)=18u+34v.∂z∂v=14x−6y=14(3u+2v)−6(4u−v)=18u +34в.
Контрольно-пропускной пункт 4,24
Рассчитать ∂z/∂u∂z/∂u и ∂z/∂v∂z/∂v, учитывая следующие функции:
z=f(x,y)=2x−yx+3y,x(u, v)=e2ucos3v,y(u,v)=e2usin3v.z=f(x,y)=2x−yx+3y,x(u,v)=e2ucos3v,y(u,v)=e2usin3v.
Обобщенное цепное правило
Теперь, когда мы увидели, как распространить исходное цепное правило на функции двух переменных, естественно спросить: можем ли мы распространить правило на более чем две переменные? Ответ — да, как утверждает обобщенное цепное правило.

Теорема 4.10
Обобщенное цепное правило
Пусть w=f(x1,x2,…,xm)w=f(x1,x2,…,xm) — дифференцируемая функция mm независимых переменных, и для каждого i∈{1,…,m},i ∈{1,…,m}, пусть xi=xi(t1,t2,…,tn)xi=xi(t1,t2,…,tn) — дифференцируемая функция nn независимых переменных. Тогда
∂w∂tj=∂w∂x1∂x1∂tj+∂w∂x2∂x2∂tj+⋯+∂w∂xm∂xm∂tj∂w∂tj=∂w∂x1∂x1∂tj+∂w∂ x2∂x2∂tj+⋯+∂w∂xm∂xm∂tj
(4.33)
для любого j∈{1,2,…,n}.j∈{1,2,…,n}.
В следующем примере мы вычисляем производную функции трех независимых переменных, в которой каждая из трех переменных зависит от двух других переменных.
Пример 4,28
Использование обобщенного цепного правила
Рассчитайте ∂w/∂u∂w/∂u и ∂w/∂v∂w/∂v, используя следующие функции:
w=f(x,y,z)=3×2 −2xy+4z2x=x(u,v)=eusinvy=y(u,v)=eucosvz=z(u,v)=eu.w=f(x,y,z)=3×2−2xy+4z2x=x (u,v)=eusinvy=y(u,v)=eucosvz=z(u,v)=eu.
Решение
Формулы для ∂w/∂u∂w/∂u и ∂w/∂v∂w/∂v: u+∂w∂z·∂z∂u∂w∂v=∂w∂x·∂x∂v+∂w∂y·∂y∂v+∂w∂z·∂z∂v.
∂w∂u=∂w ∂x·∂x∂u+∂w∂y·∂y∂u+∂w∂z·∂z∂u∂w∂v=∂w∂x·∂x∂v+∂w∂y·∂y∂v+∂w ∂z·∂z∂v.Таким образом, необходимо вычислить и заменить девять различных частных производных. Нам нужно вычислить каждый из них:
∂w∂x=6x−2y∂w∂y=−2x∂w∂z=8z∂x∂u=eusinv∂y∂u=eucosv∂z∂u=eu∂ x∂v=eucosv∂y∂v=−eusinv∂z∂v=0,∂w∂x=6x−2y∂w∂y=−2x∂w∂z=8z∂x∂u=eusinv∂y∂u = eucosv∂z∂u=eu∂x∂v=eucosv∂y∂v=-eusinv∂z∂v=0.
Теперь подставим каждое из них в первую формулу для вычисления ∂w/∂u:∂w/∂u:
∂w∂u=∂w∂x·∂x∂u+∂w∂y·∂y ∂u+∂w∂z·∂z∂u=(6x−2y)eusinv−2xeucosv+8zeu,∂w∂u=∂w∂x·∂x∂u+∂w∂y·∂y∂u+∂w∂z ·∂z∂u=(6x−2y)eusinv−2xeucosv+8zeu,
, затем подставьте x(u,v)=eusinv,y(u,v)=eucosv,x(u,v)=eusinv,y(u,v)=eucosv и z(u,v)=euz( u,v)=eu в следующее уравнение: (3sin2v−2sinvcosv+4) +4).
Далее вычисляем ∂w/∂v:∂w/∂v:
∂w∂v=∂w∂x·∂x∂v+∂w∂y·∂y∂v+∂w∂z·∂z ∂v=(6x−2y)eucosv−2x(−eusinv)+8z(0),∂w∂v=∂w∂x·∂x∂v+∂w∂y·∂y∂v+∂w∂z·∂ z∂v=(6x−2y)eucosv−2x(−eusinv)+8z(0),
, затем подставляем x(u,v)=eusinv,y(u,v)=eucosv,x(u,v)=eusinv,y(u,v)=eucosv и z(u,v)=euz (u,v)=eu в это уравнение:
∂w∂v=(6x−2y)eucosv−2x(−eusinv)=(6eusinv−2eucosv)eucosv+2(eusinv)(eusinv)=2e2usin2v+6e2usinvcosv− 2e2ucos2v=2e2u(sin2v+sinvcosv−cos2v).
∂w∂v=(6x−2y)eucosv−2x(−eusinv)=(6eusinv−2eucosv)eucosv+2(eusinv)(eusinv)=2e2usin2v+6e2usinvcosv−2e2ucos2v= 2e2u(sin2v+sinvcosv−cos2v).Контрольно-пропускной пункт 4,25
Рассчитать ∂w/∂u∂w/∂u и ∂w/∂v∂w/∂v, учитывая следующие функции:
w=f(x,y,z)=x+2y−4z2x−y+3zx=x(u,v)=e2ucos3vy=y(u,v)=e2usin3vz=z(u,v)=e2u. w=f(x,y,z)=x+2y−4z2x−y+3zx=x(u,v)=e2ucos3vy=y(u,v)=e2usin3vz=z(u,v)=e2u.
Пример 4.29
Рисование древовидной диаграммы
Создание древовидной диаграммы для случая, когда
w=f(x,y,z),x=x(t,u,v),y=y(t,u,v) ,z=z(t,u,v)w=f(x,y,z),x=x(t,u,v),y=y(t,u,v),z=z(t, u,v)
и выпишите формулы для трех частных производных w.w.
Решение
Начиная слева, функция ff имеет три независимые переменные: x,y,andz.x,y,andz. Следовательно, от первого узла должны исходить три ветви. Каждая из этих трех ветвей также имеет три ветви для каждой из переменных t, u и v.
t, u и v.Рисунок 4,36 Древовидная диаграмма функции трех переменных, каждая из которых является функцией трех независимых переменных.
Три формулы:
∂w∂y∂y∂u+∂w∂z∂z∂u∂w∂v=∂w∂x∂x∂v+∂w∂y∂y∂v+∂w∂z∂z∂v.∂w∂t =∂w∂x∂x∂t+∂w∂y∂y∂t+∂w∂z∂z∂t∂w∂u=∂w∂x∂x∂u+∂w∂y∂y∂u+∂w∂z ∂z∂u∂w∂v=∂w∂x∂x∂v+∂w∂y∂y∂v+∂w∂z∂z∂v.
Контрольно-пропускной пункт 4,26
Создайте древовидную диаграмму для случая, когда
w=f(x,y),x=x(t,u,v),y=y(t,u,v)w=f(x,y) ,x=x(t,u,v),y=y(t,u,v)
и выпишите формулы для трех частных производных w.w.
Неявное дифференцирование
Напомним из неявного дифференцирования, что неявное дифференцирование обеспечивает метод нахождения dy/dxdy/dx, когда yy определяется неявно как функция x.x. Этот метод включает в себя дифференцирование обеих частей уравнения, определяющего функцию относительно x, x, а затем решение для dy/dx.dy/dx. Частные производные представляют собой альтернативу этому методу.

Рассмотрим эллипс, определяемый уравнением x2+3y2+4y-4=0x2+3y2+4y-4=0 следующим образом.
Рисунок 4,37 График эллипса определяется как x2+3y2+4y−4=0.x2+3y2+4y−4=0.
Это уравнение неявно определяет yy как функцию x.x. Таким образом, мы можем найти производную dy/dxdy/dx методом неявного дифференцирования:
ddx(x2+3y2+4y−4)=ddx(0)2x+6ydydx+4dydx=0(6y+4)dydx=−2xdydx=−x3y+2.ddx(x2+3y2+4y−4)=ddx (0)2x+6ydydx+4dydx=0(6y+4)dydx=-2xdydx=-x3y+2.
Мы также можем определить функцию z=f(x,y)z=f(x,y), используя левую часть уравнения, определяющего эллипс. Тогда f(x,y)=x2+3y2+4y−4.f(x,y)=x2+3y2+4y−4. Тогда эллипс x2+3y2+4y-4=0x2+3y2+4y-4=0 можно описать уравнением f(x,y)=0.f(x,y)=0. Использование этой функции и следующей теоремы дает нам альтернативный подход к вычислению dy/dx.dy/dx.
Теорема 4.11
Неявное дифференцирование функции двух или более переменных
Предположим, что функция z=f(x,y)z=f(x,y) неявно определяет yy как функцию y=g(x)y=g(x) от xx через уравнение f(x,y) =0.
f(x,y)=0. Затемdydx=-∂f/∂x∂f/∂ydydx=-∂f/∂x∂f/∂y
(4.34)
при условии fy(x,y)≠0.fy(x,y) ≠0.
Если уравнение f(x,y,z)=0f(x,y,z)=0 неявно определяет zz как дифференцируемую функцию от xandy,xandy, то
∂z∂x=−∂f/∂x ∂f/∂zand∂z∂y=−∂f/∂y∂f/∂z∂z∂x=−∂f/∂x∂f/∂zand∂z∂y=−∂f/∂y∂f /∂z
(4,35)
, если fz(x,y,z)≠0.fz(x,y,z)≠0.
Уравнение 4.34 является прямым следствием уравнения 4.31. В частности, если мы предположим, что yy определяется неявно как функция xx через уравнение f(x,y)=0,f(x,y)=0, мы можем применить цепное правило, чтобы найти dy/dx:dy /дх:
ddxf(x,y)=ddx(0)∂f∂x·dxdx+∂f∂y·dydx=0∂f∂x+∂f∂y·dydx=0.ddxf(x,y)=ddx(0) ∂f∂x·dxdx+∂f∂y·dydx=0∂f∂x+∂f∂y·dydx=0.
Решение этого уравнения относительно dy/dxdy/dx дает уравнение 4.34. Уравнение 4.35 можно вывести аналогичным образом.
Теперь вернемся к проблеме, которую мы начали перед предыдущей теоремой.
Используя неявное дифференцирование функции двух или более переменных и функцию f(x,y)=x2+3y2+4y−4,f(x,y)=x2+3y2+4y−4, получаем∂f∂x=2x∂f∂y=6y+4.∂f∂x=2x∂f∂y=6y+4.
Тогда уравнение 4.34 дает
dydx=-∂f/∂x∂f/∂y=-2x6y+4=-x3y+2,dydx=-∂f/∂x∂f/∂y=-2x6y+4=-x3y+2,
, что является тем же результатом, полученным при более раннем использовании неявного дифференцирования.
Пример 4.30
Неявное дифференцирование с помощью частных производных
- Вычислите dy/dxdy/dx, если yy определяется неявно как функция xx с помощью уравнения 3×2−2xy+y2+4x−6y−11=0,3×2−2xy+y2+4x− 6y−11=0. Каково уравнение касательной к графику этой кривой в точке (2,1)?(2,1)?
- Вычислите ∂z/∂x∂z/∂x и ∂z/∂y,∂z/∂y, зная x2ey-yzex=0.x2ey-yzex=0.
Решение
- Установить f(x,y)=3×2−2xy+y2+4x−6y−11=0,f(x,y)=3×2−2xy+y2+4x−6y−11=0, затем вычислить fxfx и fy :fy:fx=6x−2y+4fy=−2x+2y−6.
fx=6x−2y+4fy=−2x+2y−6.
Производная определяется выражением∂x∂f/∂y=−6x−2y+4−2x+2y−6=3x−y+2x−y+3.
Наклон касательной в точке (2,1)(2,1) определяется выражениемdydx|(x,y)=(2,1)=3(2)−1+22−1+3 =74.dydx|(x,y)=(2,1)=3(2)−1+22−1+3=74.
Чтобы найти уравнение касательной, воспользуемся формой точка-наклон (рис. 4.38):y−y0=m(x−x0)y−1=74(x−2)y=74x−72+ 1y=74x−52.y−y0=m(x−x0)y−1=74(x−2)y=74x−72+1y=74x−52.
Рисунок 4,38 График повернутого эллипса определяется как 3×2−2xy+y2+4x−6y−11=0,3×2−2xy+y2+4x−6y−11=0.
- Имеем f(x,y,z)=x2ey-yzex.f(x,y,z)=x2ey-yzex. Следовательно,
∂f∂x=2xey−yzex∂f∂y=x2ey−zex∂f∂z=−yex.∂f∂x=2xey−yzex∂f∂y=x2ey−zex∂f∂z=−yex .
Используя уравнение 4.35,∂z∂x=-∂f/∂x∂f/∂y=-2xey-yzex-yex=2xey-yzexyexand∂z∂y=-∂f/∂y∂f/∂z=-x2ey-zex- yex=x2ey-zexyex.∂z∂x=-∂f/∂x∂f/∂y=-2xey-yzex-yex=2xey-yzexyexand∂z∂y=-∂f/∂y∂f/∂z= −x2ey−zex−yex=x2ey−zexyex.
Контрольно-пропускной пункт 4,27
Найдите dy/dxdy/dx, если yy определяется неявно как функция xx уравнением x2+xy-y2+7x-3y-26=0,x2+xy-y2+7x-3y-26=0.
Каково уравнение касательной к графику этой кривой в точке (3,−2)?(3,−2)?Раздел 4.5 Упражнения
В следующих упражнениях используйте предоставленную информацию для решения проблемы.
215.
Пусть w(x,y,z)=xycosz,w(x,y,z)=xycosz, где x=t,y=t2,x=t,y=t2 и z=arcsint.z=arcsint . Найдите dwdt.dwdt.
216.
Пусть w(t,v)=etvw(t,v)=etv, где t=r+st=r+s и v=rs.v=rs. Найдите ∂w∂r∂w∂r и ∂w∂s.∂w∂s.
217.
Если w=5×2+2y2,x=-3s+t,w=5×2+2y2,x=-3s+t и y=s-4t,y=s-4t, найти ∂w∂s∂w∂ s и ∂w∂t.∂w∂t.
218.
Если w=xy2,x=5cos(2t),w=xy2,x=5cos(2t) и y=5sin(2t),y=5sin(2t), найти dwdt.dwdt.
219.
Если f(x,y)=xy,x=rcosθ,f(x,y)=xy,x=rcosθ и y=rsinθ,y=rsinθ, найдите ∂f∂r∂f∂r и выразите ответ в терминах rr и θ.θ.
220.

Предположим, что f(x,y)=x+y,f(x,y)=x+y, где x=rcosθx=rcosθ и y=rsinθ.y=rsinθ. Найдите ∂f∂θ.∂f∂θ.
В следующих упражнениях найдите dfdtdfdt, используя цепное правило и прямую замену.
221.
f(x,y)=x2+y2,f(x,y)=x2+y2,x=t,y=t2x=t,y=t2
222.
f(x,y)=x2+y2,y=t2,x=tf(x,y)=x2+y2,y=t2,x=t
223.
f(x,y)=xy,x=1−t,y=1+tf(x,y)=xy,x=1−t,y=1+t
224.
f(x,y)=xy,x=et,y=2etf(x,y)=xy,x=et,y=2et
225.
f(x,y)=ln(x+y),f(x,y)=ln(x+y),x=et,y=etx=et,y=et
226.
f(x,y)=x4,f(x,y)=x4,x=t,y=tx=t,y=t
227.
Пусть w(x,y,z)=x2+y2+z2,w(x,y,z)=x2+y2+z2,x=cost,y=sint,x=cost,y=sint, и z=et.z=et. Выразите ww как функцию tt и непосредственно найдите dwdtdwdt.
Затем найдите dwdtdwdt, используя правило цепочки.228.
Пусть z=x2y,z=x2y, где x=t2x=t2 и y=t3.y=t3. Найдите дздт.дздт.
229.
Пусть u=exsiny,u=exsiny, где x=-ln2tx=-ln2t и y=πt.y=πt. Найдите dudtdudt, когда x=ln2x=ln2 и y=π4.y=π4.
В следующих упражнениях найдите dydxdydx, используя частные производные.
230.
sin(6x)+tan(8y)+5=0sin(6x)+tan(8y)+5=0
231.
х3+у2х-3=0х3+у2х-3=0
232.
sin(x+y)+cos(x−y)=4sin(x+y)+cos(x−y)=4
233.
х2-2ху+у4=4х2-2ху+у4=4
234.
xey+yex-2x2y=0xey+yex-2x2y=0
235.
х2/3+у2/3=а2/3х2/3+у2/3=а2/3
236.
xcos(xy)+ycosx=2xcos(xy)+ycosx=2
237.

exy+yey=1exy+yey=1
238.
x2y3+cosy=0x2y3+cosy=0
239.
Найдите dzdtdzdt, используя цепное правило, где z=3x2y3,x=t4,z=3x2y3,x=t4 и y=t2.y=t2.
240.
Пусть z=3cosx-sin(xy),x=1t,z=3cosx-sin(xy),x=1t и y=3t.y=3t. Найдите дздт.дздт.
241.
Пусть z=e1−xy,x=t1/3,z=e1−xy,x=t1/3 и y=t3.y=t3. Найдите дздт.дздт.
242.
Найдите dzdtdzdt по цепному правилу, где z=cosh3(xy),x=12t,z=cosh3(xy),x=12t и y=et.y=et.
243.
Пусть z=xy,x=2cosu,z=xy,x=2cosu и y=3sinv.y=3sinv. Найдите ∂z∂u∂z∂u и ∂z∂v.∂z∂v.
244.
Пусть z=ex2y,z=ex2y, где x=uvx=uv и y=1v.y=1v. Найдите ∂z∂u∂z∂u и ∂z∂v.∂z∂v.
245.
Если z=xyex/y,z=xyex/y,x=rcosθ,x=rcosθ и y=rsinθ,y=rsinθ, найти ∂z∂r∂z∂r и ∂z∂θ∂z∂θ когда r=2r=2 и θ=π6.
θ=π6.246.
Найти ∂w∂s∂w∂s, если w=4x+y2+z3,x=ers2,y=ln(r+st),w=4x+y2+z3,x=ers2,y=ln(r +st) и z=rst2.z=rst2.
247.
Если w=sin(xyz),x=1−3t,y=e1−t,w=sin(xyz),x=1−3t,y=e1−t и z=4t,z=4t, найти ∂w∂t.∂w∂t.
Используйте эту информацию для следующих упражнений: Функция f(x,y)f(x,y) называется однородной степени nn, если f(tx,ty)=tnf(x,y).f(tx ,ty)=tnf(x,y). Для всех однородных функций степени n,n верно следующее равенство: x∂f∂x+y∂f∂y=nf(x,y).x∂f∂x+y∂f∂y=nf(x , у). Покажите, что данная функция однородна, и проверьте, что x∂f∂x+y∂f∂y=nf(x,y).x∂f∂x+y∂f∂y=nf(x,y).
248.
f(x,y)=3×2+y2f(x,y)=3×2+y2
249.
f(x,y)=x2+y2f(x,y)=x2+y2
250.
f(x,y)=x2y−2y3f(x,y)=x2y−2y3
251.
Объем прямого кругового цилиндра определяется выражением V(x,y)=πx2y,V(x,y)=πx2y, где xx — радиус цилиндра, а y — высота цилиндра.
Предположим, что xx и yy являются функциями от tt, заданными формулами x=12tx=12t и y=13ty=13t, так что xandyxandy увеличиваются со временем. Как быстро увеличивается объем, когда x=2x=2 и y=43?y=43?252.
Давление PP газа связано с объемом и температурой по формуле PV=kT, PV=kT, где температура выражается в кельвинах. Выразите давление газа как функцию VV и T.T. Найдите dPdtdPdt при k=1,k=1,dVdt=2dVdt=2 см 3 /мин, dTdt=12dTdt=12 K/мин, V=20V= 20 см 3 и T=20°F.T=20°F.
253.
Радиус прямого круглого конуса увеличивается со скоростью 33 см/мин, тогда как высота конуса уменьшается со скоростью 22 см/мин. Найдите скорость изменения объема конуса, если его радиус 1313 см, а высота 1818 см.
254.
Объем усеченного конуса находится по формуле V=13πz(x2+y2+xy),V=13πz(x2+y2+xy), где xx – радиус меньшего круга, yy – радиус большего круга, а zz — высота усеченного конуса (см.
рисунок). Найдите скорость изменения объема этой усеченной пирамиды, когда x=10 дюймов, y=12 дюймов и z=18 дюймов, x=10 дюймов, y=12 дюймов и z=18 дюймов. если dzdt=-5,dxdt=1,dydt=1dzdt=-5,dxdt=1,dydt=1 (все в/мин).255.
Закрытый ящик имеет форму прямоугольного тела с размерами x, y, и z.x, y, и z. (Размеры указаны в дюймах.) Предположим, что каждое измерение изменяется со скоростью 0,50,5 дюйма/мин. Найдите скорость изменения общей площади поверхности коробки, когда x=2 дюйма, y=3 дюйма и z=1 дюйм, x=2 дюйма, y=3 дюйма и z=1 дюйм.
256.
Общее сопротивление в цепи, состоящей из трех отдельных сопротивлений, представленных x,y,x,y и zz, определяется по формуле R(x,y,z)=xyzyz+xz+xy.R(x,y ,z)=xyzyz+xz+xy. Предположим, что в данный момент времени сопротивление xx равно 100 Ом, 100 Ом, сопротивление и равно 200 Ом, 200 Ом, а сопротивление zz равно 300 Ом, 300 Ом.
Кроме того, предположим, что сопротивление xx изменяется со скоростью 2 Ом/мин, 2 Ом/мин, сопротивление yy изменяется со скоростью 1 Ом/мин, 1 Ом/мин, а сопротивление zz не изменяется. Найти скорость изменения полного сопротивления этой цепи в этот момент.257.
Температура TT в точке (x,y)(x,y) равна T(x,y)T(x,y) и измеряется по шкале Цельсия. Муха ползет так, что ее положение через tt секунд определяется как x=1+tx=1+t и y=2+13t, y=2+13t, где xandyxandy измеряются в сантиметрах. Температурная функция удовлетворяет условиям Tx(2,3)=4Tx(2,3)=4 и Ty(2,3)=3.Ty(2,3)=3. С какой скоростью повышается температура на пути мухи через 33 с?
258.
Компоненты xandyxandy жидкости, движущейся в двух измерениях, задаются следующими функциями: u(x,y)=2yu(x,y)=2y и v(x,y)=−2x;v(x,y )=−2x;x≥0;y≥0.x≥0;y≥0. Скорость жидкости в точке (x,y)(x,y) равна s(x,y)=u(x,y)2+v(x,y)2.s(x,y)=u (х,у)2+v(х,у)2. Найдите ∂s∂x∂s∂x и ∂s∂y∂s∂y, используя цепное правило.

259.
Пусть u=u(x,y,z),u=u(x,y,z), где x=x(w,t),y=y(w,t),z=z(w, t), w = w (r, s) и t = t (r, s). x = x (w, t), y = y (w, t), z = z (w, t), w = w(r,s) и t=t(r,s). Используйте древовидную диаграмму и цепное правило, чтобы найти выражение для ∂u∂r.∂u∂r.
Неявная функция — определение, формула, дифференцирование неявной функции, примеры, часто задаваемые вопросы
Неявная функция — это функция, определенная для дифференцирования функций, содержащих переменные, которые не могут быть легко выражены в виде y = f(x). Функция вида g(x, y)=0 или уравнение, x 2 + y 2 + 4xy + 25 = 0 является примером неявной функции , где зависимая переменная ‘y’ и независимая переменная ‘x’ не могут быть легко разделены, чтобы представить ее как функцию формы у = f (х).
Кроме того, нам также необходимо узнать о явной функции, чтобы лучше понять неявную функцию. Давайте узнаем больше о неявной функции и дифференциации неявной функции с помощью примеров.

1. Что такое неявная функция? 2. Производная неявной функции 3. Свойства неявной функции 4. Примеры неявной функции 5. Практические вопросы 6. Часто задаваемые вопросы о неявной функции Что такое неявная функция?
Неявная функция — это функция с несколькими переменными, причем одна из переменных является функцией другого набора переменных. Функция f(x, y) = 0 такая, что она является функцией от x, y, выраженной уравнением с переменными с одной стороны и приравненной к нулю. Примером неявной функции является уравнение y 2 + xy = 0. Кроме того, функция f (x, y, z) = 0, такая, что одна переменная зависит от двух других переменных, является неявной функцией.
Функция, которую можно легко записать в виде y = f(x) с переменной y с одной стороны и функцией x с другой, называется явной функцией.
Но в неявной функции переменные x и y не могут быть записаны в виде y = f(x), а неявная функция имеет более одного решения для данной функции. Выражение неявной функции содержит две или более переменных, записанных и выраженных в виде уравнения f(x, y) = 0 или g(x, y, z) = 0, с выражением слева: сторону уравнения, содержащую переменные, константы, коэффициенты и приравненную к нулю.Отношение y = f(x) является явной функцией, где y представлено через x. Кроме того, в неявной функции отношение между x и y выражается как g(x, y) = 0, где y является неявной функцией x. Точнее, значение x определяет значение y таким образом, что при замене x на y в выражении в левой части оно приравнивается к нулю. Выражения y = x 2 , y = ax + b, y = \(\sqrt x\) являются примерами явных функций, а выражения ax 2 + bxy — y = 0, x 2 — y 2 = 0, e y + x — y + log y = 0, являются примерами неявных функций.

Производная неявной функции
Понятие неявной функции было определено применительно к дифференцированию, когда дифференцирование функций, включающих множество переменных, затруднено. Дифференциация неявных функций включает цепное правило дифференцирования функций.
Прежде чем рассматривать неявную функцию, давайте подробнее разберемся с явной функцией. Обычно простыми линейными уравнениями относительно x и y можно манипулировать и выражать как y = f (x), и это называется явной функцией. Здесь зависимая переменная у и независимая переменная х могут быть четко различимы и дифференцированы по х.
Неявная функция имеет форму f(x, y, z) = 0 и может иметь более одной переменной, которую нельзя разделить как зависимую переменную и независимую переменную для дифференцирования. Здесь мы используем частичное дифференцирование, чтобы дифференцировать все выражение по одной конкретной переменной.
Дифференциация неявной функции включает два простых шага.
Сначала продифференцируем все выражение f(x, y) = 0 по одной независимой переменной x. В качестве второго шага найдите dy/dx выражения путем алгебраического перемещения переменных. Окончательный ответ дифференцирования неявной функции будет иметь обе переменные. Позвольте понять это с помощью примера.Пример
x 2 + xy + y = 0
Шаг — 1: Продифференцируем это выражение по x, с обеими переменными в левой части.
2x + x.dy/dx +y.1 + dy/dx = 0
Шаг — 2: Алгебраически разделите переменные, чтобы найти dy/dx выражения.
x.dy/dx + dy/dx = -(2x + y)
dy/dx(x + 1) = -(2x + y)
dy/dx = -(2x + y)/(x + 1)
Свойства неявной функции
Ниже приведены некоторые важные свойства неявной функции, которые помогут лучше понять эту функцию.
- Неявная функция не может быть выражена в виде y = f(x).
- Неявная функция всегда представляется как комбинация переменных f(x, y) = 0.

- Неявная функция — это нелинейная функция со многими переменными.
- Неявная функция написана как в терминах зависимой переменной, так и в терминах независимой переменной.
- Вертикальная линия, проведенная через график неявной функции, пересекает его более чем через одну точку.
Связанные темы
Следующие темы помогут понять концепцию неявной функции.
- Обратная функция
- Сюръективная функция
- Биективная функция
- Инъекционная функция
- Периодическая функция
Часто задаваемые вопросы о неявной функции
Что такое неявная функция?
Неявная функция — это функция формы f(x, y)=0, которая была определена для облегчения дифференцирования алгебраической функции. Неявная функция имеет переменные, коэффициенты, константы в виде уравнения в левой части, которое было приравнено к нулю.
Каковы примеры неявных функций?
Выражения ax 2 + bxy — y = 0, x 2 — y 2 = 0, e y + x — y + log y = 0 являются примерами неявных функций.

Как узнать, является ли функция неявной функцией?
Функция, которую нельзя легко представить в виде y = f(x), является неявной функцией. Кроме того, неявную функцию нельзя легко дифференцировать, чтобы найти dy / dx в левой части и производную от нее в правой части за простые шаги. Неявная функция обычно имеет форму f ( x , y )=0, или g(x, y, z)=0, и содержит все переменные, коэффициенты, постоянные в левой части уравнения, и приравнивается к нулю.
В чем разница между явной функцией и неявной функцией?
Функция, которая может быть выражена в виде y = f(x), является явной функцией, а функция вида f(x, y) = 0 является неявной функцией. Неявная функция была определена для облегчения дифференциации функций. Функции, которые можно легко дифференцировать, чтобы найти dy/dx в левой части и его производную в правой части, являются явной функцией, а функция, содержащая dy/dx вместе с переменными, коэффициентами, может быть названа как неявная функция.
Неявное дифференцирование — Примеры | Неявная производная
Неявное дифференцирование — это процесс нахождения производной неявной функции.
т. е. этот процесс используется для нахождения неявной производной. Есть два типа функций: явная функция и неявная функция. Явная функция имеет вид y = f(x) с зависимой переменной «y» на одной из сторон уравнения. Но не обязательно всегда иметь «y» на одной стороне уравнения. Например, рассмотрим следующие функции:- х 2 + у = 2
- ху + грех (ху) = 0
В первом случае, хотя ‘y’ не является одной из сторон уравнения, мы все же можем решить его, записав его как y = 2 — x 2 , и это явная функция. Но во втором случае мы не можем легко решить уравнение для «y», и этот тип функции называется неявной функцией, и на этой странице мы увидим, как найти производную неявной функции, используя процесс неявного дифференцирования.
1. Что такое неявное дифференцирование? 2. Неявная производная 3. Неявное дифференцирование и цепное правило 4. 
Как выполнить неявное дифференцирование? 5. Неявное дифференцирование обратных тригонометрических функций 6. Часто задаваемые вопросы о неявном дифференцировании Что такое неявное дифференцирование?
Неявное дифференцирование — это процесс дифференцирования неявной функции. Неявная функция — это функция, которая может быть выражена как f(x, y) = 0, т. е. ее нельзя легко решить относительно ‘y’ (или ее нельзя легко представить в виде y = f(x ). Рассмотрим пример нахождения dy/dx по заданной функции xy = 5. Найдем dy/dx двумя способами: (i) решая относительно y (ii) не решая относительно y.
- Метод — 1:
ху = 5
у = 5/х
у = 5x -1
Дифференцируя обе части по x:
dy/dx = 5(-1x -2 ) = -5/x 2 - Метод — 2:
ху = 5
Дифференцируя обе части по x:
д/дх (ху) = д/дх(5)
Используя правило произведения слева,
х d/dx(y) + y d/dx(x) = d/dx(5)
х (dy/dx) + у (1) = 0
х(dy/dx) = -y
dy/dx = -y/x
Из xy = 5 мы можем написать y = 5/x.
dy/dx = -(5/x)/x = -5/x 2
В методе -1 мы преобразовали неявную функцию в явную и нашли производную, используя степенное правило. Но в методе 2 мы дифференцировали обе части по x, рассматривая y как функцию от x, и этот тип дифференцирования называется неявным дифференцированием. Но для некоторых функций, таких как xy + sin (xy) = 0, запись в виде явной функции (Метод — 1) невозможна. В таких случаях только неявное дифференцирование (метод — 2) является способом нахождения производной.
Неявная производная
Производная, найденная с помощью процесса неявного дифференцирования, называется неявной производной. Например, производная dy/dx, найденная в методе 2 (в приведенном выше примере), сначала была dy/dx = -y/x и называется неявной производной. Это потому, что мы продифференцировали неявную функцию xy = 5 напрямую, не решая ее для y. Неявная производная обычно выражается как по x, так и по y.
Неявное дифференцирование и цепное правило
Цепное правило дифференцирования играет важную роль при нахождении производной неявной функции.
Цепное правило гласит: d/dx (f(g(x)) = (f’ (g(x)) · g'(x). Всякий раз, когда мы сталкиваемся с производной членов y по x, цепное правило приходит в сцену и из-за цепного правила мы умножаем фактическую производную (по формулам производных) на dy/dx. Вот пример.Вот еще примеры, чтобы понять цепное правило в неявном дифференцировании.0003
- d/dx (y 2 ) = 2y dy/dx
- d/dx (sin y) = cos y dy/dx
- d/dx (ln y) = 1/y · dy/dx
- d/dx (tan -1 y) = 1/(1 + y 2 ) · dy/dx
Другими словами, везде, где y дифференцируется, также пишите dy/dx. Предлагается повторять эти примеры снова и снова, так как они очень полезны при неявном дифференцировании.
Как выполнить неявное дифференцирование?
В процессе неявного дифференцирования мы не можем начать непосредственно с dy/dx, так как неявная функция имеет вид не y = f(x), а f(x, y) = 0. Примечание. что мы должны знать производные правила, такие как правило мощности, правило произведения, правило частного, правило цепи и т.
д., прежде чем изучать процесс неявного дифференцирования. Вот блок-схема шагов для выполнения неявного дифференцирования.Теперь эти шаги объясняются на примере, где мы собираемся найти неявную производную dy/dx, если функция y + sin y = sin x.
Формула неявного дифференцирования
Мы рассмотрели шаги для выполнения неявного дифференцирования. Сталкивались ли мы с какой-либо конкретной формулой на этом пути? Нет!! Не существует конкретной формулы для неявного дифференцирования, вместо этого мы выполняем шаги, описанные в блок-схеме выше, чтобы найти неявную производную.
Неявное дифференцирование обратных тригонометрических функций
Процесс неявного дифференцирования полезен при нахождении производных обратных триггерных функций. Найдем производную от y = tan -1 x с использованием неявного дифференцирования. Из определения arctan y = tan -1 x ⇒ tan y = x. Дифференцируя обе части этого уравнения по x,
сек 2 y × dy/dx = 1 (поскольку производная tan x равна sec 2 x)
dy/dx = 1/сек 2 y
dy/dx = 1 / (1 + tan 2 y) (по одному из тригонометрических тождеств)
dy/dx = 1 / (1 + x 2 ) (поскольку tan y = x)
Таким образом, процесс неявного дифференцирования можно использовать для нахождения производных любой обратной функции.

Важные замечания по неявному дифференцированию:
- Неявное дифференцирование — это процесс нахождения dy/dx, когда функция имеет форму f(x, y) = 0.
- Чтобы найти неявную производную dy/dx, просто продифференцируйте обе части и найдите dy/dx. Но в этом процессе пишите dy/dx везде, где мы дифференцируем y.
- Все производные формулы и приемы следует использовать и в процессе неявного дифференцирования.
☛ Связанные темы:
- Калькулятор производных
- Расчетный калькулятор
- Калькулятор второй производной
- Дифференциация
Часто задаваемые вопросы о неявном дифференцировании
Что такое определение неявного дифференцирования в исчислении?
Неявное дифференцирование — это процесс дифференцирования неявной функции, имеющей вид f(x, y) = 0, и нахождения dy/dx. Чтобы найти неявную производную,
- Продифференцировать обе части f(x, y) = 0 по x
- Применять обычные формулы производных для дифференцирования членов x
- Применение обычных формул производной для дифференцирования членов по оси y с умножением производной на dy/dx
- Решите полученное уравнение для dy/dx (выделив dy/dx).

Как найти неявную производную?
Чтобы найти неявную производную уравнения, например, скажем, x 2 + sin(y) = 0:
- Возьмем производную по x с обеих сторон.
Тогда мы получаем d/dx(x 2 ) + d/dx (sin y) = 0, . - Умножать на dy/dx везде, где мы дифференцируем что-либо с помощью y.
2x + cos y dy/dx = 0, - Решите это для dy/dx.
cos y dy/dx = -2x
dy/dx = -2x/cos y
Как выполнить неявное дифференцирование с помощью триггерных функций?
Когда мы выполняем неявное дифференцирование тригонометрических функций, то просто применяем нормальные тригонометрические производные, такие как d/dx(sin x) = cos x, d/dx(cos x) = — sin x и т. д., а затем применяем цепное правило . Это означает, что мы должны умножить реальную производную на производную внутренней функции. Например, d/dx (sin y 2 ) = cos y 2 d/dx (y 2 ) = 2y cos y 2 dy/dx.

Что такое неявные правила дифференциации?
При нахождении неявной производной мы просто дифференцируем уравнение относительно x и y с обеих сторон относительно x, используем dy/dx также всякий раз, когда мы дифференцируем что-то с y, и решаем полученное уравнение относительно dy/dx.
Что такое неявное значение дифференциации?
Смысл неявного дифференцирования, как следует из его названия, заключается в процессе дифференцирования неявной функции f(x, y) = 0 и нахождения производной dy/dx. Чтобы узнать, как сделать неявное дифференцирование, нажмите здесь.
Как найти вторую неявную производную?
Если задана неявная функция f(x, y) = 0, используйте процесс неявного дифференцирования, чтобы найти первую производную dy/dx (или) y’. Затем мы дифференцируем первую производную y’ по x с обеих сторон, чтобы найти вторую неявную производную. В этом процессе нам, возможно, придется также использовать ответ y’.
Что такое неявная формула дифференцирования?
Специальной формулы для неявного дифференцирования не существует.

2)
lx=3,
ly=-4, |l|=5.
cosa=3/5,
cosb=(-4)/5.
dz/dl=11*3/5+0*(-4)/5=6,6.
Все правила по сольфеджио

В этом случае частные производные представляют собой функции двух переменных х и у, определенные в указанной окрестности точки М. Назовем их частными производными первого порядка. В свою очередь, частные производные по переменным х и у от функций в точке М, если они существуют, называются частными производными второго порядка от функции f (М) в этой точке и обозначаются следующими символами
1)
М0 с направляющим вектором
Градиент ортогонален касательной плоскости к поверхности уровня в данной точке.
su Все материалы представленные на сайте исключительно с целью ознакомления читателями и не преследуют коммерческих целей или нарушение авторских прав. Обратная связь — 161.97.168.212 (0.02 с.)






Потенциальное поле.

Важно, что слова “за исключением, быть может, самой точки ” означают, что нас не интересует сама эта точка. Это можно понять, если рассмотреть функцию. При x, стремящемся к нулю, функция-таки стремится к нулю, независимо от того, какое значение она принимает в точке x=0. Следовательно, предел равен нулю и функция является бесконечно малой.
е. ~ , ~ (напомним, что две бесконечно малых называются эквивалентными, если предел их отношения равен 1). Тогда, т.е. при вычислении пределов отношений бесконечно малых любую из них можно заменять на эквивалентную.

Для существования предела функции в точке, необходимо и достаточно, чтобы существовали и совпадали односторонние пределы функции в этой точке. По той же схеме вводится понятие непрерывности слева и непрерывности справа. Функция, определенная на отрезке , , непрерывна справа в точке , если и непрерывна слева в точке , если. Для того чтобы функция была непрерывна в точке необходимо и достаточно, чтобы односторонние пределы функции в точке совпадали со значением функции в этой точке:. Если хотя бы одно из равенств нарушается, говорят о разрыве в точке . 
Угловой коэффициент секущей равен и ее уравнение имеет вид .
Таким образом, дифференциал функции выражается формулой , то есть для вычисления дифференциала необходимо лишь вычислить производную и умножить ее на . Поэтому часто слова “вычисление производной” и “дифференцирование” считают синонимами. Для того, чтобы функция была дифференцируема в точке, необходимо и достаточно, чтобы в этой точке существовала конечная производная. 

Если же при и при , то функция имеет в точке минимум (в этом случае говорят, что “производная меняет знак при переходе через точку ”).

Формула Тейлора.
То есть производнаянеопределенного интеграла равна подынтегральной функции. Наоборот, , следовательно, дифференцирование и вычисление неопределенного интеграла, – взаимно обратные операции. Не представляет труда с помощью таблицы производных составить таблицу неопределенных интегралов. Важным свойством неопределенного интеграла является линейность: , здесь — постоянные. Вычисление неопределенного интеграла обычно сводится к преобразованию подынтегрального выражения так, чтобы можно было воспользоваться таблицей интегралов.
Название “по частям” связано с тем, что для записи интеграла в правой части нужно проинтегрировать “часть” подынтегрального выражения в левой части. Метод интегрирования по частям используется для интегралов вида , , , и некоторых других.
Интегралы вида , если , то есть четная рациональная функция своих аргументов вычисляются с помощью замены .
Выражение называется интегральной суммой функции на .Если при существует и конечен предел последовательности частичных сумм , не зависящий ни от способа разбиения промежутка точками , ни от выбора , то этот предел называют определенным интегралом от функции по промежутку , а саму функцию — интегрируемой на . Обозначают . 


Если предел конечен, то говорят, что несобственный интеграл сходится и его значение вычисляют по формуле . Аналогично определен интеграл для интегрируемой при функции и интеграл для функции , интегрируемой на . Если рассмотренные пределы бесконечны, то говорят, что соответствующий несобственный интеграл расходится. 

Если ряд сходится, то (необходимое условие сходимости ряда). Обратное, вообще говоря, неверно. Члены ряда могут стремиться к нулю, но ряд при этом может расходиться.
Если такой ряд сходится, то получен ответ: ряд сходится абсолютно.
Множество , для которого это выполняется, называется областью сходимости функционального ряда.
Степенной ряд сходится равномерно на любом отрезке, целиком лежащем внутри интервала сходимости. Сходимость степенного ряда на границах интервала сходимости необходимо исследовать специально для конкретного ряда.
Тогда ряд Тейлора сходится к для всех . Приведем разложения в ряд Тейлора для основных элементарных функций. 
Множество v область определения функции, множество v область ее значений. Функциональная зависимость от обозначается так: и т.п. Выберем в пространстве систему координат , изобразим на плоскости множество ; в каждой точке этого множества восстановим перпендикуляр к плоскости и отложим на нем значение . Геометрическое место полученных таким образом точек и является пространственным графиком функции двух переменных.
Например, для функции двух переменных: . Если смешанные производные и непрерывны, то они равны, то есть не зависят от порядка дифференцирования. Аналогично определяются, например, . Если при вычислении полного дифференциала от дифференциала первого порядка учесть, что приращения аргументов есть числа и оставить их неизменными, то получим дифференциал второго порядка. Например, для функции двух переменных: . Здесь учтено равенство смешанных производных второго порядка и принято . При этих допущениях формулу дифференциала любого порядка можно получить из символического выражения: .
Тогда в некоторой окрестности точки существует единственная непрерывная функция , задаваемая уравнением , так, что в этой окрестности .
д. Формула Тейлора, записанная в окрестности точки (0,0) называется формулой Маклорена. Например, для функции двух переменных при n=2: .
Если , то для определения знака приращения необходимо изучить члены формулы Тейлора более высокого порядка.
Аддитивность:
В каждой из элементарных областей выберем произвольную точку . Число ставится в соответствие каждому разбиению и каждому выбору точек и называется интегральной суммой. Если существует и он не зависит от выбора разбиения и точек, то функция называется интегрируемой по Риману в области , а сам предел называется тройным интегралом от функции по области и обозначается . Свойства тройных интегралов такие же, как и у двойных интегралов.
Замена переменных в кратных интегралах.
Тогда , а двойной интеграл в полярных координатах вычисляется по формуле: .Элемент площади в полярных координатах есть .
Декартовы координаты точки выражаются через сферические по формулам: . В этом случае . Тогда тройной интеграл в сферических координатах вычисляется по формуле:
Если поверхность задана уравнением , то и площадь поверхности вычисляется по формуле , здесь — проекция поверхности на плоскость . Если поверхность однозначно проектируется на другие координатные плоскости, то соответственно изменится формула вычисления площади поверхности.
Поскольку вычисление поверхностного интеграла сводится к двойному интегралу, то, естественно, все свойства поверхностного интеграла 1-го рода такие же, как и у двойного.
Это единственное свойство, которое не совпадает с обычными свойствами интегралов, определеямых через предел интегральной суммы. Если — отрезок кусочно-гладкой кривой, заданной параметрически:
В отдельных случаях линии уровня могут вырождаться в точки, а поверхности уровня в точки и кривые.
В декартовой системе координат векторное поле можно записать в виде: . Скалярные функции однозначно определяют векторное поле. Векторное поле может быть плоским, если , сферическим, когда , , цилиндрическим, когда , .
Построим вектор нормали в точке поверхности, лежащей внутри контура. Если из конца вектора нормали обход контура кажется происходящим против часовой стрелки, то будем называть сторону поверхности, обращенную к вектору нормали положительной стороной. Таким образом, будем рассматривать ориентированную двухстороннюю поверхность, а односторонние поверхности лист Мебиуса, бутылку Клейна оставим в покое. Потоком векторного поля через ориентированную поверхность называется поверхностный интеграл по площади поверхности (1-го рода) , где — единичный вектор нормали, направленный в положительную сторону. Выбор положительной стороны обычно диктуется физическими условиями задачи. 
Используя формулу Остроградского, нетрудно получить выражение для вычисления дивергенции в декартовых координатах: . Из свойств частных производных следуют свойства дивергенции векторного поля: 

Поскольку ротор поля определяется через циркуляцию, то он тоже является мерой завихренности поля. Найдем компоненты ротора в декартовой системе координат, воспользовавшись формулой Стокса. Для этого выберем сначала координатную плоскость y0z с нормальным вектором , затем x0z, , затем x0y, . Применяя каждый раз теорему о среднем для интеграла, получим:
Минус в формуле связан с историческим выбором направления вектора напряженности от плюса к минусу, когда уже умели тереть шерсть об янтарь, но не знали, как это описывать математически.
Смысл полученной формулы состоит в том, что работа поля по перемещению материальной точки из А в В не зависит от пути интегрирования, а только от конечной и начальной точек, точнее, от разности потенциалов в этих точках. Понятие разности потенциалов хорошо известно из физики. Для вычисления потенциала поля в произвольной точке В выберем начальную точку А, от которой начнем отсчет (в физике часто это — бесконечно удаленная точка). Тогда . Поскольку интеграл не зависит от пути интегрирования, то выберем его так, как нам удобно: сначала параллельно оси 0х, потом параллельно 0у, наконец, параллельно 0z. Обозначая , получим:
Дифференциальное исчисление функций нескольких переменных > 6.5. Производные функций нескольких переменных, заданных неявно > 6.5.1. Неявная функция. Дифференцируемость неявной функции. Формула для частных производных функции двух переменных, заданной неявно

Если точка принадлежит этой окрестности, то

Что значит неявно?
Сравним с обычной функцией. Обычная функция задана уравнением вида y=f(x),
где игрек, то есть функция, задан некоторым выражением, в котором присутствует икс. Таким образом,
из переменных в левой части — только игрек, в правой — только икс. Если же функция задана неявно, то в
левой части различные слагаемые с игреком «смешаны» с различными слагаемыми с иксом (или переменной,
обозначенной другой буквой). Примеры функций, заданных неявно:
А затем выразить производную
игрека через производные других переменных.
Дифференцируем обе части уравнения по иксу, считая, что игрек — функция от икса:
Найти производную функции, заданной неявно:
е. вы, вероятно, на мобильном телефоне). Из-за характера математики на этом сайте лучше всего просматривать в ландшафтном режиме. Если ваше устройство не находится в ландшафтном режиме, многие уравнения будут отображаться сбоку вашего устройства (должна быть возможность прокрутки, чтобы увидеть их), а некоторые пункты меню будут обрезаны из-за узкой ширины экрана.
Другими словами, что нам делать, если мы хотим, чтобы изменилась только одна из переменных, или если мы хотим изменить более одной из них? На самом деле, если мы позволим измениться более чем одной переменной, у нас будет бесконечное количество способов их изменения.
Например, одна переменная может изменяться быстрее, чем другие переменные в функции. Заметьте также, что вполне возможно, что функция будет изменяться по-разному в зависимости от того, как мы позволяем изменяться одной или нескольким переменным.
93}\) и определим скорость изменения функции в точке \(\left( {a,b} \right)\), если зафиксировать \(y\) и разрешить \(x\ ) изменяться, и если мы будем считать \(x\) фиксированным и позволять \(y\) изменяться.
3}\]
92}\]
Точно так же, чтобы вычислить \({f_y}\left( {x,y} \right)\), мы будем рассматривать все \(x\) как константы, а затем дифференцировать \(y\), как мы привык делать.
25in}& f’\left( x \right) & = \frac{{df }}{{dx}}\\ & f\left( {x,y} \right)\hspace{0.25in} & \Rightarrow & \hspace{0.25in} & {f_x}\left( {x,y} \right) & = \frac{{\partial f}}{{\partial x}}\,\,\,\& \,\,\,{f_y}\left( {x,y} \right) = \frac{{\partial f}}{{\partial y}}\end{align*}\]
Это константа, а мы знаем, что константы всегда дифференцируются до нуля. Это также является причиной того, что второй член продифференцирован до нуля. Помните, что, поскольку здесь мы дифференцируем по \(x\), мы будем рассматривать все \(y\) как константы. Это означает, что термины, включающие только \(y\), будут рассматриваться как константы и, следовательно, будут дифференцироваться до нуля. 93} + 43x — 7\tan \left( {4y} \right)\) Показать решение
{е \ влево ( х \ вправо)}} \]
92}}}\) Показать решение
6} = 5\]
93}}}\]
2} \cos\left( {2y — 5z} \right) — 6yx\sin \left( {6zx} \right)}}\end{align*}\]
92}\cos\left( {2y — 5z} \right)}}\end{align*}\]
92 года $. Согласно теореме 1 $\frac{dy}{dx}$ можно найти, если вычислить частную производную от $F$ по $x$, разделить ее на частную производную от $F$ по $y $ (при условии, что он не равен нулю), а затем инвертируем наш результат.
Тогда $\frac{\partial z}{\partial x} = -\frac{F_x (x, y, z)}{F_z (x, y, z)}$ и $\frac{\partial z}{\ частичное y} = -\frac{F_y (x, y, z)}{F_z (x, y, z)}$ при условии, что ни один из знаменателей не равен нулю.
y}\cr
}$$
$\квадрат$
9y=x$ для $y$, поэтому, возможно, после взятия производной мы получим
то, что трудно решить за $y’$. На самом деле это никогда
бывает. Все вхождения $y’$ происходят из-за применения цепного правила,
и всякий раз, когда используется цепное правило, он вносит один $y’$
умножить на какое-то другое выражение. Так что всегда можно будет
сгруппируйте термины, содержащие $y’$ вместе, и вынесите $y’$ на множители, просто
как в предыдущем примере. Если у вас когда-нибудь возникнет что-то более сложное
вы допустили ошибку и должны исправить ее, прежде чем пытаться продолжить.
2}=2a.$$
Затем мы можем использовать неявное дифференцирование, чтобы найти наклон кривой.
эллипс в любой точке, хотя вычисления довольно беспорядочны.
$\квадрат$
92$
(отвечать)
2 =0$ и $yx=0$
ортогональны друг другу?
29)
z(t)−z(t0)=f(x( t),y(t))−f(x(t0),y(t0))=fx(x0,y0)(x(t)−x(t0))+fy(x0,y0)(y(t )−y(t0))+E(x(t),y(t)).
limt→t0E(x(t),y(t))t−t0=limt→t0(E(x,y)(x−x0)2+(y−y0)2(x−x0) 2+(y−y0)2t−t0)=limt→t0(E(x,y)(x−x0)2+(y−y0)2)limt→t0((x−x0)2+(y− у0)2t−t0).
Следовательно, это значение конечно. Это доказывает цепное правило при t=t0;t=t0; остальная часть теоремы следует из предположения, что все функции дифференцируемы во всей своей области определения.
29: ∂z∂x·dxdt+∂z∂y·dydt=(8x)(стоимость)+(6y)(-sint)=8xcost-6ysint.
∂z∂x=xx2−y2∂z∂y=−yx2−y2dxdt=2e2tdxdt=−e−t .
Верхняя ветвь соответствует переменной xx, а нижняя ветвь соответствует переменной y.y. Поскольку тогда каждая из этих переменных зависит от одной переменной t,t, тогда одна ветвь идет от xx, а одна ветвь идет от y.y. Наконец, каждая из ветвей в крайнем правом углу имеет метку, которая представляет собой путь, пройденный для достижения этой ветви. Верхняя ветвь достигается путем следования по ветке xx, затем по ветке tt; поэтому он помечен (∂z/∂x)×(dx/dt).(∂z/∂x)×(dx/dt). Нижняя ветвь аналогична: сначала ветвь yy, затем ветвь tt. Эта ветвь обозначена (∂z/∂y)×(dy/dt).(∂z/∂y)×(dy/dt). Чтобы получить формулу для dz/dt, dz/dt, добавьте все члены, которые появляются в правой части диаграммы. Это дает нам уравнение 4.29..
xandy. Тогда z=f(g(u,v),h(u,v))z=f(g(u,v),h(u,v)) является дифференцируемой функцией от uandv,uandv, и
В цепном правиле для одной независимой переменной левая часть формулы для производной не является частной производной, но в цепном правиле для двух независимых переменных это так. Причина в том, что в цепном правиле для одной независимой переменной zz является функцией только от tt, тогда как в цепном правиле для двух независимых переменных zz является функцией как u, так и v.u и v.

∂w∂u=∂w ∂x·∂x∂u+∂w∂y·∂y∂u+∂w∂z·∂z∂u∂w∂v=∂w∂x·∂x∂v+∂w∂y·∂y∂v+∂w ∂z·∂z∂v.
∂w∂v=(6x−2y)eucosv−2x(−eusinv)=(6eusinv−2eucosv)eucosv+2(eusinv)(eusinv)=2e2usin2v+6e2usinvcosv−2e2ucos2v= 2e2u(sin2v+sinvcosv−cos2v).
t, u и v.
f(x,y)=0. Затем